Showing posts with label copper. Show all posts
Showing posts with label copper. Show all posts

Friday, April 11, 2014

Hair Mineral Analysis: Significant Correlations Between Calcium, Magnesium, Potassium & Sodium and Met. Syn., Insulin Resistance, Waist, BP etc. - Implications?

Does her hair hold the secret to her fitness body? Actually that's unlikely, but it appears possible that a hair analysis could reveals what's keeping you back from a similarly amazing physique.
Hair mineral analyses have been discredited by certain snake oil vendors who use them to sell their "oils" in form of an endless list of "essential" supplements you'd have to take if you don't want to end up as dead as the hair they used to produce the analysis. Still, they share one big strength with the more expensive RBC or other cell tests: They give you an idea of your actual calcium, magnesium, sodium and potassium balance.

Much in contrast to serum levels, by the way. If those are off, it's either due to an acute event (like diarrhea, for example ;-) or you have a real reason to be concerned. There is after all a really good reason these minerals are also called "electrolytes": They are heavily involved in the ion and thus charge-exchange that keeps your heart beating!
Serum analyses tell you if your heart will keep beating, but what do hair analysis tell you? That's a very valid question and the answer is NOTHING! You can use them to estimate your mineral balance, but a high calcium level in the hair, does not necessarily imply a high level in other body parts. Moreover, correlations as I am about to report them in today's SuppVersity article allow for hypotheses about causative effects, what they don't do, though is to prove cause and effect! Please keep that in mind while reading this article and before your next visit at your favorite quack.
Before we get to the actual hair mineral analysis data, let's briefly have a look at another set of striking and not so striking differences between the "normal" subjects and those with established metabolic syndrome:
Figure 1: Serum mineral concentrations, visceral (VAT) and subcutaneous body fat and smoking status in subjects w/ and w/out metabolic syndrome (Choi. 2014)
If you take a closer look at the data in Figure 1 you will see that - aside from marginal, but statistically non-significant differences in serum phosphor - the often-checked total Ca, Mg, K, Na & Ph concentrations did not differ between the two groups.
Potassium, insulin resistance & obesity: Later in this article you will learn that there was a negative association between the amount of potassium in the hair of the subjects and their HDL and insulin sensitivity. It's important not to confuse this with the message "potassium is bad for your insulin sensitivity" - in fact, in 1980, Rowe et al. observed significant decreases in plasma insulin response  to sustained hyperglycemia and a ~30% reduction in glucose metabolism (Rowe. 1980).
Moverover, visceral fat was a much more reliable parameter to distinguish the healthy and unhealthy subjects than subcutaneous fat and... a bit to my surprise: Smoking appears to be associated with a lower metabolic risk than non-smoking.

Let's take a look at the hair analysis, now

Much in contrast to the serum levels, the hair mineral analysis did reveal significant inter-group differences and corresponding correlations:
Of all potentially toxic molecules the researchers measured only the levels of arsenic and lead differed significantly between the two groups. The concentrations of cadmium, mercury, and aluminum were not different between the two groups, on the other hand, did not.
And what does that mean? If we take a parting look at the data in Table 1, you will see that, the one parameter that makes all the difference is none of the minerals. It's rather an old acquaintance: The total amount of visceral fat. With a p-value of p = 0.000 it's the best parameter we have to identify someone with metabolic syndrome. The hair minerals, on the other hand, may present with associations with individual features of the metabolic syndrome, namely...
Table 1: Multiple logistic regression analysis for hair mineral concentrations with metabolic syndrome (Choi. 2014)
  • low calcium, low magnesium ➮ high blood pressure, high blood sugar, triglycerides, weight and waist,
  • high sodium, high potassium ➮ low HDL,
  • high copper ➮ low blood pressure, low weight, low waist, high insulin sensitivity,
  • high chromium ➮ high weight, high waist, and
  • high cobalt ➮ low blood pressure
Now, since, we don't know how exactly the hair mineral content ant the nutritional intake are connected, it is very difficult to make any recommendations based on these observations.

What appears to be relatively certain, though, is that these new findings don't change anything about my previous recommendation to make sure that you get enough calcium and magnesium - the thing about potassium, on the other hand, strikes me as odd. As an antagonist to calcium, the negative effects of K may yet simply be a result of a Ca deficiency in the average mid-40s subjects in the study at hand.
References:
  • Choi, Whan-Seok, Se-Hong Kim, and Ju-Hye Chung. "Relationships of Hair Mineral Concentrations with Insulin Resistance in Metabolic Syndrome." Biological Trace Element Research (2014): 1-7.
  • Rowe, John W., et al. "Effect of experimental potassium deficiency on glucose and insulin metabolism." Metabolism 29.6 (1980): 498-502.

Wednesday, December 11, 2013

Commercially Available Teas "Not Suitable For Human Consumption": Potentially Hazardous Amounts of Lead, Aluminum, Arsenic & Co in Every Cup

Would all commercially available teas have to be labeled like this?
I am usually not a fan of articles with titles like this one (see above) - they have what you call in Germany "Bildzeitungsniveau" (the German tabloid with news like "World about to disappear in a black hole, when CERN starts operating). It is however hard to resist the urge to use a headline like the one above, if the it fits the results of peer-reviewed scientific paper so well, as it is the case with the relatively recent paper from the University of Alberta and the Luleâ University of Technology in Sweden this SuppVersity article is (almost) all about.

The corresponding experiment, the results of which were published in the peer-reviewed open-access Journal of Toxicology in October 2013, already, addresses the increasing concern about contamination of foodstuffs and natural health products. With the emphasis being on foodstuff and health, it's only logical that tea, or more precisely all currently available off-the-shelf varieties of black, green, white, and oolong teas sold in tea bags were used for analysis in the said study.

So what did the researchers do?

Schwalfenberg, Genius (no joke, the 2n author is a real 'Genius by name') and Rodushkin conducted a three-step analysis in the course of which they analyzed the content of previously identified tea contaminants like aluminum, fluoride, mercury, lead, cadmium and arsenic (Fujimaki. 2004; Lung. 2008; Wang. 2008; Alvarez-Ayuso. 2011; Tan. 2012) in commercial tea preparations.
Table 1: There are not just bad, but also healthy minerals in tea!
Before we get to the "bad stuff", though, let's start with the positive findings of their investigation. The data in Table 1 is after all evidence enough that there are also "healthy" minerals in tea - the amount is not high enough to cover your RDA, but this does not mean that it could not be at least partly related to the undeniable health benefits researchers all around the world report for people who consume uncontaminated tea on a regular base. As a loyal SuppVersity readers you know most, if not all of them from previous articles on tea. The reason I still believe it's worth enumerating them again is that I don't want you to give up on your beloved (?) tea too easily - I mean, Coke is not an alternative and for coffee fungi and other stuff could make a similarly unhealthy "supplement" to your breakfast beverage:
  • Cardiovascular benefits - When we are talking about health in general and heart health in particular, most people will think of green tea. That's pretty unfortunate, because there is ample research for all varieties of teas that they can lower blood lipids, provide "clean" and thus heart healthy energy, and exert antithrombotic and anti-hypertensive effects.
  • Anticancer effects - Despite the fact that the anti-cancer effects have mostly observed in in-vitro studies, there is plenty of epidemiological evidence that tea drinkers have a lower cancer risk, than the average coke guzzler (not necessarily breast cancer, though ➫ SuppVersity Facebook News).
  • Metabolic syndrome - While more recent studies clearly suggest that the active weight loss effects of tea, in general, and green tea, in particular, have been totally overblown, there is still a host of controlled trials, where adding tea (not necessarily green tea) improved the effects of a energy restricted diet. Compared to the rodent trials which are still fueling the myth of the potent thermogenic effects of (green) tea, the real world results in human beings are however downright disappointing.
  • A green tea marinade will keep your meats fresh | learn more
    Anti-infective properties - Only few people (SuppVersity readers included - of course) know that green tea can be used as a mouthwash and is currently researched as an anti-bacterial food additive by researchers all around the world. According to a paper by Steinmann et al. (2013), the anti-infective effects are mediated by the antiviral, antibacterial, and antifungal properties of Epigallocatechin gallate (EGCG). The same EGCG about which you've read only recently on the SuppVersity that it is not exactly as useful as a fat loss adjuvant, as the hype would have you believe.
  • Other beneficial effects - Under "Miscellaneous Effects", Schwalfenberg et al. also list the nephropotective effects of green tea, which could come very handy if you guzzle mercury contaminated green tea, everyday (unfortunately, mercury is your least problem with tea), the anti-depressive researchers have observed in people consuming 4+ cups of tea per day and the hitherto unconfirmed hypothesis that tea drinkers are (better) protected against Alzheimer’s and neurological decline.
In view of these benefits it's only logical that the Canadian + Swedish research team chose to repeat  the dichotomous health effects of drinking tea in the title of their paper "The Benefits and Risks of Consuming Brewed Tea" (my emphasis in Schwalfenberg. 2013)

Organic is not better than regular tea

To obtain a dataset that would be as comprehensive, accurate and practically relevant as possible the authors bought 30 different organic and non-organic white, green, oolong, and black teas from the the shelves of Canadian supermarkets and analyzed (a) the "raw" tea leaves (LEAF), (b) tea that had been steeped for 3-4 minutes (3MIN), (c) tea that had been steeped for 15–17 minutes (15MIN).
Know your teas: As a SuppVersity reader you will probably know that all teas come from the same plant. It's the processing that determines if we call it "white", "green", or whatever else:
  • White tea: young leaves or new growth buds, withered, uncured, baked dry 
  • Green tea: steamed or dry cooking in hot pans to prevent oxidation; dried tea leaves may be separate leaves or rolled into pellets (gunpowder tea)
  • Oolong tea: withering of leaves under sun and warm winds with further oxidation standard between green and black teas
  • Black tea: leaves are completely oxidized, withered
Due to the processing of the leaves tea from the same camellia sinensis plant can contain different amounts of contaminants depending on whether you buy it as white, green, oolong or black tea, or shredded green tea supplement.
Still, the main determinant is and remains the soil it was grown on (see Table 4)?
All tea samples underwent the same standardized procedures before they were analyzed in their raw form (cut / shredded leaves) or as an infusion that had been prepared with only one tea bag (containing 2-3g of tea) in 250 mL of distilled water in fine bone china cups.

As you will already have expected, the scientists did not just detect the previously mentioned "good minerals" (exact values see Table 1), and a host of other beneficial trace elements, i.e.
  • boron 19–115µg/L, cobalt 0.4–3.56µg/L, 
  • copper 26–106µg/L, chromium 0.2–14.6µg/L, 
  • iron 19–62.5µg/L, manganese 534–6351µg/L, 
  • molybdenum 0.03–0.131µg/L, 
  • selenium <0.1–0.34µg/L, 
  • vanadium <0.01–0.151µg/L, and zinc 44.6–187µg/L,
in their samples. Schwalfenberg et al. found highly significant and, more importantly, physiologically relevant amounts of toxic elements, as well:
Table 2: Established toxicant limits in supplements (µg/day).
If you look at the value in Table 3 and compare them to the limits in Table 2, there is one thing you should keep in mind: These limits have been set by average exposure, not based on toxicity tests - that sounds very comforting, right?
"Public health warnings or industry regulation indicated" -- It sounds pretty fearmongering and I would not have used it as a subheading right beneath the introduction, if the statement "Public health warnings or industry regulation might be indicated to protect consumer safety." (Schwalfenberg. 2013) was no literal citation from the conclusion of the paper I have here right in front of me.
Table 3: Levels of mercury (Hg), lead (Pb), aluminum (Al), arsenic (As) and cadmium (Cd) in tea infusions after 3-4 or 15-17 min of brewing; all values in µg/L (Schwalfenberg. 2013)
A brief glimpse at the data in Table 3 does moreover confirm there are plenty of toxins in the average Canadian super market tea, but it does not tell you how problematic the contamination actually is. To understand that you'd have to cimpare those values to the established toxicant limits Table 2, which do - and this is and will always be ridiculous -  obviously depend on where you live *sarcastic laughter*... but enough of the unproductive sarcasm, let's see what we've got:
"All teas contained significant amounts of aluminum. Tea  leaves contained from 568 to 3287 ng/g of tea. All brewed teas steeped for 3 or 15 minutes contained detectable levels of aluminum. The range was 1131µgm/L to 8324µgm/L steeping for 3 minute and 1413µgm/L to 11449µgm/L steeping for 15 minutes. Only 2 teas had levels above acceptable limits at 3 minutes of brewing but 6 of the teas had levels greater than the upper acceptable daily limit of 7000µgm/L. Clearly letting tea steep for longer than 3 minutes is not advisable. Two of the organic green teas had levels above 10,000µgm/L brewed for 15 minutes."
In view of the fact that tea is by far not the only aluminum source you are expose to, the high levels of this toxic metal that easily accumulates in the body should be reason enough not to brew your tea - especially not organic tea - for more than 3 minutes.

Organic tea is a worse offender than regular

If you take a look at the amount of lead in the various tea samples it becomes even more obvious that "organic" tea is not necessarily better for your organs, as well. This is particularly true for the best-sellers green and black tea, both of which contain significantly more lead in the "organic" vs. "regular" variety.
Table 4: Toxicant levels according to origin; Pb: lead, Cd: cadmium, Al: aluminum, As: arsenic (Schwalfenberg. 2013)
Probably the main factor that influences the toxicant levels of teas is the place of origin, thoug. As you can see in the overview in Table 4, the highest amount of arsenic, was detected in Chinese oolong teas (organic or regular). The total arsenic levels in all teas, which ranged from 0.06µgm to 1.12µgm/L for tea that had been steeped for 3 minutes to 0.08 to 1.27µgm/L for tea that had been steeped for 15 minutes was highest in white tea - obviously also from China. And last but not least, ...
"...[a]ll tea leaves had detectable levels of cadmium. 21 teas had detectable levels after 15 minutes brewing while only 18  teas had detectable levels after 3 minutes brewing suggesting that there is further leaching of this toxicant into the water over time. [As the overview in Table 4 already suggests] the highest level was 0.067µgm/L found in standard oolong tea from China." (Schwalfenberg. 2013)
Not listed in the tables are the levels of tin, barium, antimony and thallium, which were detected in all tea samples, but at levels of which the authors state that they don't have to be "considered to be of concern" (Schwalfenberg. 2013).
Should you stop drinking tea? You know that I don't like to tell people what to do. Unless, obviously I am 100% sure that I am convinced that there is a serious health risk involved.
In the case of green, black or white tea, the evidence that this is the case is yet insufficient. Personally, I will still make sure to check the geographic origin of the tea leaves (not where it was processed and packaged!) and avoid all products with the bad 5-letter word C-H-I-N-A on the label.
Bottom line: "Not of concern" is not exactly what I would say about the overall results of the study at hand. I mean, in the end, the high levels of toxicants in some of the commercially available tea preparations - specifically those from China - could actually explain why the real-world results with commercially available teas and tea supplements often fall short of the rodent studies, which are often conducted with highly purified green tea products from companies like Sigma Aldrich.

Ah, ... one last thing to keep in mind is that 18 out of 30 tested commercial tea preparations contained mercury in amounts that were as high as 20 ng/g, but did not make it from the leave to the tea. With your digestive tract being a much more efficient nutrient and (unfortunately) toxicant extractor than hot water, tea supplements could pose an even greater risk of heavy metal exposure than tea.
References:
  • Álvarez-Ayuso, E., Giménez, A., & Ballesteros, J. C. (2011). Fluoride accumulation by plants grown in acid soils amended with flue gas desulphurisation gypsum. Journal of hazardous materials, 192(3), 1659-1666.
  • Hayacibara, M. F., Queiroz, C. S., Tabchoury, C. P. M., & Cury, J. A. (2004). Fluoride and aluminum in teas and tea-based beverages. Revista de Saúde Pública, 38(1), 100-105.
  • Lung, S. C. C., Cheng, H. W., & Fu, C. B. (2007). Potential exposure and risk of fluoride intakes from tea drinks produced in Taiwan. Journal of Exposure Science and Environmental Epidemiology, 18(2), 158-166.
  • Steinmann, J., Buer, J., Pietschmann, T., & Steinmann, E. (2013). Anti‐infective properties of epigallocatechin‐3‐gallate (EGCG), a component of green tea. British journal of pharmacology, 168(5), 1059-1073.
  • Tan, Z., & Xiao, G. (2012). Leaching characteristics of fly ash from Chinese medical waste incineration. Waste Management & Research, 30(3), 285-294.
  • Schwalfenberg, G., Genuis, S. J., & Rodushkin, I. (2013). The Benefits and Risks of Consuming Brewed Tea: Beware of Toxic Element Contamination. Journal of toxicology, 2013.
  • Wang, X. P., Ma, Y. J., & Xu, Y. C. (2008). [Studies on contents of arsenic, selenium, mercury and bismuth in tea samples collected from different regions by atomic fluorescence spectrometry]. Guang pu xue yu guang pu fen xi= Guang pu, 28(7), 1653-1657.

Monday, April 29, 2013

Dietary Zinc & Copper Improve Glucose & Lipid Metabolism. High Cortisol Amplitudes Counter Belly Fat. Hypoxic Hearts Love Creatine + Ribose. Apples Counter Cancer & Obesity

I guess this is about as close as we have hitherto gotten to understand why we got fat. Wrt to the hilarious pace at which we got fat and are still getting fatter, we are much better informed though.
After you've learned about the general importance of exercise for your health and a couple of tweaks that may or, as in the case of sugary "energy drink", may not help you maximize the benefits and performance gains on Saturday. The focus of today's SuppVersity article is on the results of non-exercise related studies that highlight non-exercise related confounders of your health.

Before we get to the actual news, I would yet like to invite all of you to take a look back at the increasingly obese history of the US... I suppose those of you who have not yet seen the link on my Facebook wall, will enjoy the animated obesity map in the Atlantic article from April 11. I mean, even if we still don't have anything but over-simplistic cookie-cutter "explanations" of why we get fat, the map shows that we do at least know how fast we got fat!

You don't feel knowing about how fast we got fat is good news? Ok, maybe you'll like one the following results from recent studies better:

  • Dietary zinc & copper influence glucose & lipid metabolism in women (Shab-Bidar. 2013) According to a recent study from the Obesity Research Center at Shahid Beheshti University of Medical Sciences in Tehran, Iran, there is a gender specific effect of copper and zinc in the diet on glucose and lipid metabolism of men and women in Iran - statistical significant effects were observed only in women with...
      Odds ratios for the MetS and low HDL across quartiles of copper intake (Shab-Bidar. 2013)
    • higher zinc intakes being associated with higher HDL-C, lower triglycerides (TG) and lower 2-hour blood glucose, and 
    • higher copper intake correlating with higher HDL-C, lower fasting blood glucose (FBG), significantly lower TG and a huge 81% reduction in the risk for suffering from metabolic syndrome (highest vs. lowest copper intakes)
    These observations stand in contrast with the current notion of the "bad" copper and the "good" zinc and reamphasize the importance of both nutrients for metabolic health.
    Remember: Two questions that will still have to be resolved pertain to (a) the gender-specificity of the effects and (b) confounding effects of food quality / choice and thus whether the same beneficial effects would be observed with the standard American diet.
    For both, but espicially for copper a little more than the RDA does not appear to hurt: What's particularly interesting, is that contrary to the zinc intakes in quartile 4 (>14mg/day; RDA 9mg/day) the copper intake in quartile 4 was more than 3x higher than the current RDA for women (0.9 mg). In fact, even the copper intake in the lowest quartile ~1.5mg/day was way above the RDA. If that's something we have to be surprised about is yet questionable, after all, there is not exactly much research on "optimal copper nutrition" (much contrary to zinc, by the way) and the RDA is based on age-old depletion-repletion studies and will thus probably reflect the absolute minimum to maintain "normal" serum levels.

  • Evidence from human study: Flat cortisol profile not averages or spikes are associated with increased adiposity and visceral obesity (Sharp. 2013) In their most recent paper that's soon going to be published in the American Journal of Human Biology Dan S. Sharp and his colleagues from the Center for Disease Control and the State University of New York provide conclusive evidence for the irrelevance of mean cortisol levels with respect to the purported negative effects of cortisol on visceral obesity.
    Associations between sextiles of within-subjects cortisol standard deviation (SD) in 217 Buffalo policemen and adjusted lean-mass trunk index (Sharp. 2013)
    As the data in the figure above clearly shows, the police officers with the greatest cortisol fluctuations (spikes and troughs) had the highest ratio of lean body mass to trunk mass. It is thus, as the scientists phrase it,
    "not the average level of salivary cortisol among 18 specimens on each officer that drives the association; it is the variation among specimens."
    The oral cortisol measures were taken on 3 subsequent days in standardized procedures that involved a venipuncture and a standardized high protein meal as "challenges", on day 1, six measures that were taken by the police officers over the course of the day, on day 2, and series of tests that was taken after a dexamethasone challenge after waking on day 3 (the subjects had ingested 0.5mg of dexamethasone the night before).
    Bottom line: While the scientists are careful in pointing out that it will still have to be established that the results translate to other populations. The results corroborate the uselessness (if not potential detrimental effects) of "cortisol blockers", I've discussed in my previous in the Science Round Up Seconds on March 29, 2013 (read more).

  • Combination of creatine and d-ribose heals damaged, but unscarred rodent-hearts (Caretti. 2013) While the many of the "daggered" claims* on the boxes of various "advanced" creatine products (learn more about their uselessness) are probably a little overblown (*the dagger refers to the "not verified by the FDA"), that's nothing compared to the absolutely disappointing results trainees had with d-ribose. Meanwhile, it seems as if even the last jerk knew that the unbearably sweet simple sugar is nothing worth spending his/her money on.

    Ribose regulates the novo synthesis and restoration nucleotides, can relieve the energy toll of ischemia  and its usefulness in the context of CVD is backed by rodent and human studies (Shecterle. 2011)
    In view of it's physiological role in the recovery of ATP levels (Helsten. 2004), it was assumed that supplementatal D-ribose would ameliorate the ATP depleting effects on exercise and improve endurance in glycolytic and/or long endurance activities, yet...
    "[...s]tudies examining the effect of ribose on performance during intense intermittent exercise and rowing have not been able to demonstrate improved performance in humans." (King. 2012)
    Other than the non-existence of side-effects, pertaining studies, which used up to ∼40 g/day, as well as acute and chronic supplementation regimen did  yet not yield any positive results

    Now, the aforementioned studies on the ergogenic effects of d-ribose were conducted in healthy individuals, in whom the ATP re-synthesis obviously does not depend (and not even benefit) from the provision of the monosaccharid that was discovered by Emil Fischer in 1891, when he analyzed the carbon structure of gum arabic (Prince. 2012). "Healthy" would yet not be the correct term to describe the rodents in the recently conducted study by Caretti et al. who observed that five week-old mice who were exposed to an atmosphere containing 10% O2 for 10 days in order to induce right ventricle hypertrophy and left ventricle apoptosis did not show any signs of cardiac damage, when they were gavaged creatine + D-ribose, every day.

    And while both phenotypes, i.e. the hypertrophy of the right and apoptosis of the left ventricle, were blunted to a certain degree by creatine or d-ribose, only their reversed the pathogenic changes to the heart muscle "almost" completely, by normalizing the expression of AMPK and Akt signaling in the hearts of the rodents.
    Light micrograph of representative nuclear pro-files (background, red = atypical, green = normal nuclei; my emphasis) and volume (%) of atypical cardiac cells in anterior left ventricle of rodents on caffeine + nicotine + ephedrine combo (learn more)
    Bottom line: While they may not be beneficial for the average trainee, people "on" the literally heart-breaking combination of nicotine + caffeine and ephedrine, could be able to reduce their detrimental effects on the heart (learn more), by adding this combination of proven (creatine) and disproven (d-ribose) ergogenics to their supplement regimen. People with sleep-apnea and other conditions which will leave the heart poorly oxygenized for longer time-periods should obviously benefit, as well.

    Based on the likewise promising results of previous studies in (human!) subjects with congestive heart failure (e.g. Omran. 2003), a daily dose of 5g d-ribose, along with the tried an proven chronic ingestion of 5g of creatine appears to be a good starting point, until respective human trials have been conducted.

  • Further evidence for the "An apple a day..." theory (Rago. 2013) In an allegedly methodically complicated, but very comprehensive analysis of the effects of raw, whole apples on the plasma metabolome of rodents, researchers from the University of Copenhagen found
    Total antioxidant activity (µmol vitamin C equivalents/g) of various fruits (Boyer. 2004)
    "that the intake of fresh apple in rats has a considerable and specific impact on the plasma metabolite profile, reflecting altered gut microbial metabolism, retarded lipid- and protein catabolism, and lowered metabolic, oxidative and steroid-related stress". (Rago. 2013)
    These results stand in line with the recent observations a group of Spanish researchers made, when they added a polyphenol extract from apples to the chow of rodents on an obesogenic high-fat + high sugar (HFS) diet:
    "Our results from histological studies demonstrated that supplementation of HFS with AP markedly reversed the enlargement of adipocyte volume induced by HFS diet intake in the epididymal fat pad, reducing it by almost 28% [...it also] reversed the increase in the population of large epididymal adipocytes, especially with diameters higher than 130m." (Boqu. 2013)
    The visceral specific effects of the apple polyphenols in the Boqué study could thus be interpreted as supportive evidence for the real-world significance of the metabolomic changes Rago et al. observed in the afore-cited study.
    Bottom line: No reason to be scared of the "high fructose fruit" apple. It comes with all HFCS sweetened beverages don't have. Polyphenols, vitamins, minerals and most importantly a flesh from which the fructose is extracted only slowly. Still, I have to warn you: Apple consumption can have profound beneficial effects on your health, such as (random examples)
    •  - 17% colorectal cancer risk (Michels. 2006)
    •  - 37% wheeze risk in your offspring (Willers. 2007)
    •  - 21% reduced risk for cancers of the oral cavity and pharynx (Gallus. 2005)
    •  - 25% reduced risk for oesophagus (Gallus. 2005) 
    •  - 18% / -15% / -9% risk red. for breast / ovary / prostate cancer (Gallus. 2005)
    and obviously the - 15% reduced breast cancer risk, the if you want to avoid these, you should thus better keep obsessing about the high fructose content of apples and stick to sausages and lard ;-)

References:
  • Boqué N, de la Iglesia R, de la Garza AL, Milagro FI, Olivares M, Bañuelos O, Soria AC, Rodríguez-Sánchez S, Martínez JA, Campión J. Prevention of diet-induced obesity by apple polyphenols in Wistar rats through regulation of adipocyte gene expression and DNA methylation patterns. Mol Nutr Food Res. 2013 Mar 25.
  • Boyer J, Liu RH. Apple phytochemicals and their health benefits. Nutr J. 2004 May 12;3:5.
  • Caretti A, Bianciardi P, Marini M, Abruzzo PM, Bolotta A, Terruzzi C, Lucchina F, Samaja M. Supplementation of creatine and ribose prevents apoptosis and right ventricle hypertrophy in hypoxic hearts. Curr Pharm Des. 2013 Apr 10. [Epub ahead of print]  
  • Gallus S, Talamini R, Giacosa A, Montella M, Ramazzotti V, Franceschi S, Negri E, La Vecchia C. Does an apple a day keep the oncologist away? Ann Oncol. 2005 Nov;16(11):1841-4. 
  • Hellsten Y, Skadhauge L, Bangsbo J. Effect of ribose supplementation on resynthesis of adenine nucleotides after intense intermittent training in humans. Am J Physiol Regul Integr Comp Physiol 2004;286:R182–8.
  • Michels KB, Giovannucci E, Chan AT, Singhania R, Fuchs CS, Willett WC. Fruit and vegetable consumption and colorectal adenomas in the Nurses' Health Study. Cancer Res. 2006 Apr 1;66(7):3942-53. PubMed PMID: 16585224.  
  • Omran H, Illien S, MacCarter D, St Cyr J, Lüderitz B. D-Ribose improves diastolic function and quality of life in congestive heart failure patients: a prospective feasibility study. Eur J Heart Fail. 2003 Oct;5(5):615-9.  
  • Price, NPJ. The Name of the–ose: An Editorial on Carbohydrate Nomenclature. J Glycobiol. 2012; 1(e105).
  • Rago D, Kristensen M, Gözde G, Federico M, Morten P, LarsOve D. LC–MS metabolomics approach to investigate the effect of raw apple intake in the rat plasma metabolome. Metabolomics. 2013; 1573-3882.
  • Shab-Bidar S, Hosseini-Esfahani F, Mirmiran P, Mehran M, Azizi F. Dietary intakes of zinc and copper and cardiovascular risk factors in Tehranian adults: Tehran Lipid and Glucose Study. Nutrition & Dietetics. 2013
  • Sharp DS, Andrew ME, Fekedulegn DB, Burchfiel CM, Violanti JM, Wactawski-Wende J, Miller DB. The cortisol response in policemen: Intraindividual variation, not concentration level, predicts truncal obesity. Am J Hum Biol. 2013 Apr 20.
  • Shecterle LM, Wagner S, St Cyr JA. A sugar for congestive heart failure patients. Ther Adv Cardiovasc Dis. 2011 Apr;5(2):95-7.
  • Willers SM, Devereux G, Craig LC, McNeill G, Wijga AH, Abou El-Magd W, Turner SW, Helms PJ, Seaton A. Maternal food consumption during pregnancy and asthma, respiratory and atopic symptoms in 5-year-old children. Thorax. 2007 Sep;62(9):773-9. Epub 2007 Mar 27.
     

Sunday, March 24, 2013

Histidine As a Fat Loss Adjuvant? 6% Fat Loss Without Dietary or Exercise Intervention & More Than Half a Dozen Other Reasons Not To Ignore This Essential Amino Acid

Histidine as a fat loss adjuvant? Laughable? Not for the obese! For lean folks like her? We'll see...
If I had to guesstimate the number of fitness enthusiasts who have ever heard of histidine at all, I would say that 50% probably don't even know what it is, while the majority of the lightened ones will re-iterate what the supplement business has been preaching them "You get more than enough histidine, anyway. So don't worry our superior beta-alanine supplement will work even if you don't take additional histidine."

Short term studies confirm this notion. It looks as if we usually have more than enough histidine to have it recombine with beta alanine and form carnosine, but long-term studies are missing and let's be honest: How likely is it that an essential amino acid is nothing but a servant to a non-essential amino acid from the 2nd row?

Early results: Histidine modulates feed efficiency

Actually we could have known that histidine could have some merit as a standalone supplement for more than 50 years now, so I am not sure if the recent publications of two studies by Feng et al. in Diabetolgy and Kumi Kimura et al. in Diabetes, the journal of the American Diabetes Association are going to change that over night. What is certain, though, is that they clearly support findings that date way back into early mid 20th century, when Ellison & King found that the provision of a low histidine diet to rodents increased the feed efficiency (=weight gain per energy unit) by 75%, while the addition of 0.75% histidine (per kg chow) to an already histidine sufficient diet  (Ellison. 1968) led to a 30% decrease in food efficiency.

About 45 years later, the previously mentioned studies on the effects of histidine on hepatic gluconeogenesis (Kimura. 2013) and insulin resistance (Feng. 2013) in rodents and human volunteers, respectively, could bring the hitherto often depreciated histamine precursor back to the center of scientific attention.

4g/day histidine improve insulin restiance, reduce fat mass and suppress inflammation

In that, the study by Feng et al., which investigated the effect of 4g/day supplemental histidine on the degree of insulin resistance, inflammation, oxidative stress and metabolic disorders in 100 obese women with the metabolic syndrome (aged 33–51 years; BMI≥28 kg/m²), is probably of greater significance for the average physical culturist that the nevertheless enlightening rodent trial by Kimura et al. we are going to address later.
Figure 1: Changes in amino acid levels, glucose & lipid metabolism, body composition and markers of inflammation after 12 weeks on placebo or 4g/histidine per day (Feng. 2013)
The effects the 4g/day of histidine had especially on the markers of inflammation are quire impressive for an amino acid of which you probably thought as either the "abundant" essential amino acid that's only an adjutant to 100% non-essential and on it's own just about as useless carnosine precursor beta alanine or - even worse - as the nasty precursor to the "allergy inducing", "inflammatory" organic nitrogen compound histamine.

"Hold on, but histidine is an allergy causing nasty bitch, isn't it?"

While the former perspective on histidine is laughable anyway, the fact that there were no increases in histamine levels and none of the participants experienced side effects such as headaches, which have been observed in previous trials with whopping amounts of 64g(!) of histidine per day (Geliebter. 1994) as they have been used, when scientists still believed that the main mechanism of histidine on body weight modulation was mediated by appetite reduction, are probably relevant. After all, histamine does play a role in the inflammatory response system of your body that the latter is not negatively, but positively affected by the consumption of pretty high amounts of histidine, is thus an important and in a way counterintuitive observation. On the other hand,
First the glucose repartitioning effects of isoleucine (learn more), now the benefits of histidine - what other secrets are still out there in the world of amino acids?
[h]istidine is a free radical scavenger and can chelate divalent metal ions (Babizhayev. 1994; Lee. 1999). Its effects against oxidative stress have been well investigated in animals and cells. Histidine has beneficial effects on liver and lung injury in rats and has been reported to protect against diabetic complications in a mouse model of diabetes through its actions against oxidative stress (Lee. 2005; Cuzzocrea. 2007; Yan. 2009). It can restrict accumulation of free radicals and delay activation of extracellular signal-regulated kinase and c-jun N terminal kinase in neuronal cells (Kulebyakin. 2012).
Against that background it is actually not surprising that the levels of TNF-α, IL-6 and c-reactive protein (CRP) dropped by 33%, 35% and 33% in the course of the 12 week study period.

Health and weight loss, two independent pairs of shoes?

If histidine is a metal chelator, do I have to be afraid of losing zinc? That's easy to answer and the answer is no and not just because I believe that the importance of zinc is way overrated (cf. "15mg of Zinc are plenty"). Schechter & Prakesh have shown in 1979, already that the ingestion of 4g of histidine on a daily basis influences the excretion of zinc only in the very short run. After 2 weeks the body achieves a new steady state and the zinc excretion returns to normal. What? No you did not pee out all the zinc before. In fact histidine increases the absorption of dietary zinc as well (cf. Freeman. 1977).
Moreover the changes in serum histidine were correlated with the changes in HOMA-IR, NEFA, TNF-α, SOD, GSH-Px, WC, FM and BMI even after further adjustment for age and serum histidine, protein intake, physical activity, alcohol use, current smoking and menopause at baseline.
"Thus, improved insulin sensitivity and alleviation of inflammation and oxidative stress could be due to the increased serum histidine." (Feng. 2013)
What's questionable, though, is how interrelated the modest, but statistically significant weight, or rather fat loss (-6% total fat mass) and the improvements in inflammation are. If we take a peek at the aformentioned rodent study by Kimura et al. who observed that the effects of histidine are mediated mainly centrally via histamine action on the H1 receptors in the brain, which will - independently of insulin (!) - downregulate the hepatic glucose production, it becomes more and more evident that non-obese / insulin-resistant individuals for whom an abundant hepatic glucose production hardly ever is a problem are less likely to benefit than the patients with type 2 diabetes, Kimura et al. implicate as the group that would be most likely to benefit from high histidine diets.

What else do we know about l-histidine?

In the end, we are thus back to square one. But maybe we can find other arguments in favor or against keeping an eye on adequate histidine intake that would be significant for the non-diabetic majority(!?) of the SuppVersity readers, as well. Let's see, what about
  • Ok, put up or shut up - where is the relation between histidine, histamine and obesity? As so often I have to say in advance that the intricacies of the role the histamine receptors in the brain play in the regulation of food intake and metabolism are not yet fully understood. What we do know is that histidine is the dietary precursor for histamine and that the latter can interact with the same receptors (H1-H3) which participate in the regulation of dopamine, serotonin, and norepinephrine release and exert direct modulatory effects on food intake, meal frequency, adiposity and thermogenesis (Masaki. 2003; Masaki. 2004; Yoshimoto. 2006; Yoshimatsu. 2008).
    improved absorption of vitamin B12 and increased liver folate levels (Williams. 1976) 
  • low histidine intake increases carnosine breakdown, so that the ant-inflammatory intra-cellular buffer carnosine you are trying to increase by taking BA would decrease to be used as a histidine source if you actually got too little histidine in your diet (Tamaki. 1984)
  • increased absorption and excretion of zinc, with a primer on the former, when intakes are low, so that the overall result is an improved management of zinc (Sandström. 1985; Van Wouwe. 1989) 
  • potential anti-Alzheimer's effects; if we simply assume that an increased amount of dietary histidine could ameliorate the histidine and histamine reductions in the brains of Alzheimer patients (Mazurkiewicz-Kwilecki. 1989), it would be logical to assume that the presence of this metal-chelator could prevent the accumulation of toxic levels of copper in the brain
  • significant increases in UCP-1 activity (+57%) in brown adipose tissue and thus higher energy expenditure, reduced appetite, significantly lower feed efficiency (-30%), reduced insulin levels (-48%) and significantly lowered visceral fat pad weights; allegedly in rodents w/ additional 5% histidine in the diet (Kasaoka. 2004) 
Now you could certainly argue that the studies which support the weight loss effects Feng et al. observed in their obese subjects were almost exclusively conducted on rodents... what am I supposed to say? You're right and you know that I am very skeptical that UCP-1 and brown adipose tissue activity play a significant role in human weight / body fat control. Still, the high correlations between the histidine / total protein ratio Okubo et al. observed in a cohort of non-obese 18y-old female Japanese students does clearly suggest that at least part of the effects are not species specific (Okubo. 2005).

Additional health effects 
 
Milk thistle is unquestionably the more prominent liver protectant (learn more)
Furthermore, histidine also prevented colitis by reducing gastric inflammation (Andou. 2009) and exerted  ameliorative effects on
  • LDL oxidation and glycation (Lee. 2005), 
  • alcohol induced liver failure (Liu. 2008), 
  • acetaminophen induced liver injury (Yan. 2009), 
  • diet induced hepatic steatosis (Mong. 2011)
when it was co-administered with carnosine. Unfortunately, none of the studies tested, whether the same results would have been observed if only one of the compounds had been used in the respective rodent trials.

So, no strings attached? Well, not exactly...

As usually the dose-response curve is yet non-linear and an exuberantly high intake of histidine (8% of the diet in rodents → far more than 70g per day for humans) can lead to copper depletion and corresponding lipid disturbances in cholesterol metabolism (Harvey. 1981). Needless to say that for people with a messed up histamine metabolism far lower doses could potentially exert negative effects. It should be mentioned though that the equation"more histidine = more histamine" does not necessary hold - just take a look at the data from the Feng study: More histamine? Yes! Beneficial effects? Yes! Increased circulating histamine? No!



Bottom line: Wile it appears likely that the provision of supplemental histidine in amounts of up to 4g/day could provide a highly beneficial adjunct to exercise and diet intervention in obese and/or diabetic individuals, it remains to be seen, whether or not lean, healthy and insulin sensitive fitness enthusiasts benefit to a similar degree.

Histidine content of various foods; w/ a focus on high histidine food items
While I would exclude that the profound anti-inflammatory effects Feng et al. observed could hamper your performance / gains, I would not exclude that the non-vegetarian majority of the SuppVersity readers is not exactly at risk of running out of histidine anytime soon (see table on the right for good dietary sources). Against that background, you may have to revise your perspective on this rarely talked about amino acid. What you probably don't have to do, though, is to go and buy a pouch of l-histidine to up your histidine intake to exorbitantly high levels... well, at least not until research on human beings confirms the beneficial effects on UCP-1, insulin and the body fat levels Ksaoka et al. observed in non-obese rodents.

References:
  • Andou A, Hisamatsu T, Okamoto S, Chinen H, Kamada N, Kobayashi T, Hashimoto M, Okutsu T, Shimbo K, Takeda T, Matsumoto H, Sato A, Ohtsu H, Suzuki M, Hibi T. Dietary histidine ameliorates murine colitis by inhibition of proinflammatory cytokine production from macrophages. Gastroenterology. 2009 Feb;136(2):564-74.e2.
  • Babizhayev MA, Seguin MC, Gueyne J, Evstigneeva RP, Ageyeva EA, Zheltukhina GA. L-carnosine (beta-alanyl-L-histidine) and carcinine (beta-alanylhistamine) act as natural antioxidants with hydroxyl-radical-scavenging and lipid-peroxidase activities. Biochem J. 1994; 304(Pt 2):509–516.
  • Cuzzocrea S, Genovese T, Failla M et al. Protective effect of orally administered carnosine on bleomycin-induced lung injury. Am J Physiol Lung Cell Mol Physiol. 2007; 292:L1095–L1104
  • Ellison JS, King KW. Mechanism of appetite control in rats consuming imbalanced amino acid mixtures. J Nutr. 1968 Apr;94(4):543-54.
  • Feng RN, Niu YC, Sun XW, Li Q, Zhao C, Wang C, Guo FC, Sun CH, Li Y. Histidine supplementation improves insulin resistance through suppressed inflammation in obese women with the metabolic syndrome: a randomised controlled trial. Diabetologia. 2013 Jan 30. 
  • Freeman RM, Taylor PR. Influence of histidine administration on zinc metabolism in the rat. Am J Clin Nutr. 1977 Apr;30(4):523-7.
  • Geliebter AA, Hashim SA, Van Itallie TB Oral L-histidine fails to reduce taste and smell acuity but induces anorexia and urinary zinc excretion. Am J Clin Nutr. 1981; 34:119–120.
  • Harvey PW, Hunsaker HA, Allen KG. Dietary L-histidine-induced hypercholesterolemia and hypocupremia in the rat. J Nutr. 1981 Apr;111(4):639-47.
  • Kimura K, Nakamura Y, Inaba Y, Matsumoto M, Kido Y, Asahara SI, Matsuda T, Watanabe H, Maeda A, Inagaki F, Mukai C, Takeda K, Akira S, Ota T, Nakabayashi H, Kaneko S, Kasuga M, Inoue H. Histidine augments the suppression of hepatic glucose production by central insulin action. Diabetes. 2013 Mar 8.
  • Kulebyakin K, Karpova L, Lakonsteva E, Krasavin M, Boldyrev A. Carnosine protects  neurons against oxidative stress and modulates the time profile of MAPK cascade signaling. Amino
    acids. 2012; 43:91–96
  • Lee JW, Miyawaki H, Bobst EV, Hester JD, Ashraf M, Bobst AM. Improved functional recovery of ischemic rat hearts due to singlet oxygen scavengers histidine and carnosine. J Mol Cell Cardiol. 1999; 31:113–121.
  • Lee YT, Hsu CC, Lin MH, Liu KS, Yin MC. Histidine and carnosine delay diabetic deterioration in mice and protect human low density lipoprotein against oxidation and glycation. Eur J
    Pharmacol. 2005. 513:145–150.
  • Liu WH, Liu TC, Yin MC. Beneficial effects of histidine and carnosine on ethanol-induced chronic liver injury. Food Chem Toxicol. 2008 May;46(5):1503-9. doi: 10.1016/j.fct.2007.12.013.
  • Mong MC, Chao CY, Yin MC. Histidine and carnosine alleviated hepatic steatosis in mice consumed high saturated fat diet. Eur J Pharmacol. 2011 Feb 25;653(1-3):82-8. doi: 10.1016/j.ejphar.2010.12.001.
  • Okubo H, Sasaki S. Histidine intake may negatively correlate with energy intake in human: a cross-sectional study in Japanese female students aged 18 years. J Nutr Sci Vitaminol (Tokyo). 2005 Oct;51(5):329-34.
  • Sandström B, Davidsson L, Cederblad A, Lönnerdal B. Oral iron, dietary ligands and zinc absorption. J Nutr. 1985 Mar;115(3):411-4.
  • Schechter PJ, Prakash NJ. Failure of oral L-histidine to influence appetite or affect zinc metabolism in man: a double-blind study. Am J Clin Nutr. 1979 May;32(5):1011-4.
  • Tamaki N, Funatsuka A, Fujimoto S, Hama T. The utilization of carnosine in rats fed on a histidine-free diet and its effect on the levels of tissue histidine and carnosine. J Nutr Sci Vitaminol (Tokyo). 1984 Dec;30(6):541-51.
  • Van Wouwe JP, Hoogenkamp S, Van den Hamer CJ. Histidine supplement and Zn status in Swiss random mice. Biol Trace Elem Res. 1989 Oct;22(1):35-43.
  • Williams DL, Spray GH. The effects of dietary histidine, methionine and homocystine on vitamin B12 and folate levels in rat liver. Br J Nutr. 1976 May;35(3):299-307
  • Yan SL, Wu ST, Yin MC, Chen HT, Chen HC. Protective effects from carnosine and histidine on acetaminophen-induced liver injury. J Food Sci. 2009: 74:H259–H265.

Monday, August 20, 2012

Urban Gardening: 12x More Cadmium in Your Tomatoes Than in the Conventional Produce? Plus: Domestic vs. Foreign & Conventional vs. Organic - What's Healthier?


Image 1: Allotment gardens are the new trend among young families in Germany, 45% of the 1,000,000 allotment gardens that were previously the territory of stuffy men and their garden goblins are already in their hands - that equals a total "acreage" of 21,000hectar - let's hope none of these gardens is right next to a street.
Those of you who have listened to the "Urban Gardening" episodes Alisa Profumo did on Super Human Radio back in 2011 (click here to download Part I and Part II) may remember that it is not impossible to grow your own vegetables, herbs and more - and that not just in a large garden. In fact, "urban gardening", which has here in Germany long been regarded as antiquated and "for grandmas and grandpas only" has become fashionable again, as more and more people enjoy the comfort of "knowing what they eat". Unfortunately, a recently published German study shows that believing does not mean knowing; or do you believe that people who knew that their homegrown tomatoes have 5.7x more nickel, basil more than 5.4x more anorganic chromium and their carrots 4.2x more cadmium than their conventionally grown counterparts from the supermarket around the corner would still not unsettle their faith in the general and unquestionable superiority of home-grown produce?

From the exhaust pipe into your garden and from your garden into your mouth :-(

Just to make sure that we understand each other: This is no anti-gardening post, it is just a brief reminder of the differences between hearsay and nostalgia, on the one hand and facts and reason, on the other. In that, it is very reasonable to assume that the constant pesticide assault is a problem, it is however not reasonable to assume that veggies and herbs you grow in the toxic environment of a major city like Berlin or its rural outskirts are per se "pollutant free".

Figure 1: Main importers of vegetables, root and tubers in 2011 (ITC calculations based on UN COMTRADE statistics)
Did you know that Katz et al. have shown in 2008, that...
  • the pesticide residues in domestic (US) produce (fruits and vegetable) were significantly higher for 11 pesticides while imported exposures were higher for the remaining four. 
  • all five pesticides that were found in potentially hazardous (yet on a per serving base still licit level) were the higher in US than in imported produce
  • the mean daily exposure estimate for one pesticide, methamidophos, was above the reference dose for domestic fruits and vegetables while slightly below the reference dose for imported fruits and vegetables
... probably not, right? If you want to avoid pesticides, all-together it is advisable to chose organically grown produce, anyway - also for it's slightly higher nutrient content (see next infobox)
This is all the more true in view of previous exploratory studies, which have already shown that horticultural crops in urban or peri-urban areas are generally exposed to a higher level of pollutants of both inorganic and organic origin than the conventional produce they are supposed to replace (Shinn. 2000; Alloway. 2004). And as Ina Säumel and her colleagues point out,
"the contamination of urban horticultural products can exceed the precautionary values, and a dietary exposure to trace metals can result in significant human health risks." (Säumel. 2012)
That said it was only logical that the researchers from the Technische Universität Berlin and their colleague from the Botanical Garden of the Khmelnitskij National University in  Khmelnitsky, Ukraine, set out to compare the positive view the public has on urban- and peri-urban gardning (according to a survey among gardeners, producing "fresh and healthy fruits and vegetables" is one if not the main motivations for gardening; cf. ) to the actual level of potentially hazardous substances in their produce.

The samples were collected from 28 randomly chosen sites within inner city neighborhoods in Berlin, Germany. As the authors point out,
"[t]hese sites represent a mixture of different local settings of horticultural plantings within Berlin’s centre  and were characterized according to the following parameters: (a) overall traffic burden (otb) within a radius of 1 km around planting sites [...] (b) traffic burden of the nearest road per day [...], (c) distance to nearest road (d; in meters); and (d) presence or absence of barriers between planting sites and next street which might reduce airborne pollution." (Säumel. 2012)
In combination with the data on the planting styles of the individual produce this allowed for a very detailed analysis of the confounding factors that influenced the the zinc, copper, lead, cadmium, chromium and nickel concentrations of the 12 different horticultural crop species (tomatoes, green beans, carrots, potatoes, kohlrabi =Brassica oleracea var. gongylodes, white cabbage, nasturtium, parsley, chard, basil, mint, thyme).
Figure 2: Trace metal content of 12 different horticultural crop species from 28 randomly chosen sites within inner city neighborhoods in Berlin, Germany; data expressed relative to conventionally produced produce from the local supermarket, the dotted black line indicates the respective 100% content of the conventional produce - everything thats above this "demarcation line" has more, everything below less of the metal (calculated based on Säumel. 2012)
If you take a look at the results you may initially be shocked - 12x more cadmium in "home-grown" tomatoes than regular produce? The currently allowed maximal level of this toxic trace metal depends on the respective legislation (I guess I don't have to rant about what those differences tell you about the arbitrariness of "allowances" & co) and is in the range of 0.1mg/kg for vegetables with 0.12mg/kg the mean content is thus already right at the red line of the official "danger zone" - the maximal detected value of 0.79mg/kg is 7.9x higher and certainly no healthy alternative to the conventional supermarket tomatoes with 0.01mg/kg (i.e. 10x below the tolerable limit) of cadmium in them.
Figure 3: Soil, overall traffic burden and the distance to the nearest road are all confounding factors that will influence how much unwanted trace metals your pesticide-free produce will contain.
As you may already guess, both the overall trace metal load as well as the high discrepancies between individual vegetables and herbs are largely dependent on their individual traffic exposure with zinc, lead, nickel and chromium showing statistical significant correlations with the overall traffic burden and lead, chromium and cadmium with the distance to the nearest road.

Plant away from roads and/or behind fences or walls + other things to protect your crops

Did you know that one of the latest meta reviews confirmed the superiority of organic vs. conventionally grown produce as far as its nutrient content is concerned? According to Hunter at al. the nutrient content of organically grown vegetables was 5.9% higher, that of legumes 5.7% (for fruits the 6.5% difference did not reach statistical significance; cf. Hunter. 2012). There is however a significant difference between screened and non-screened trials, with the former having a clear-cut bias towards an even higher difference than the latter (mean difference 8%). It is however at least questionable how valuable a classification like this is, when the "superior" mineral content of organically grown veggies, for example, is mediated among others by a statistically significant +6% higher phosphor content, the level of calcium and magnesium, however is only non-significantly higher (0.6% and 3%, respectively).
Aside from planting further away from, or next to low traffic streets, placing your plants behind fences, walls or other protective barriers can be a valid method to reduce the trace metal content of your crop. Moreover, Säumel et al. point out that regardless of the traffic burden,
"[...]the vegetables planted in urban soil beds were less likely to have lead values above the critical values than vegetables planted in pots or beds that had been supplemented with commercial garden soil. This might result from the use of compost, which increases metal solubility, but more research is needed to reveal underlying causes as we could not analyse soil trace metal contents." (Säumel. 2012)
This does not necessarily mean that planting in the local soil must be better, nor is it certain that the commercial garden soil was already contaminated, it should yet raise your awareness that even when you are planting outside of the 10m danger-zone of the next street in which 67% of the analyzed crop has lead values that exceeded the standards of the European Union, the lead, cadmium, nickel and what not could already be in the soil of your garden or be accidentally introduced by the commercial garden soil you bought and used to increase your produce (for tips on safer ways than the next best fertilizer from the garden center, listen to the initially mentioned gardening episodes of Super Human Radio).

Picking the right crop, such as kohlrabi, green beans or basil and installing extra fences using the back instead of the front yard are other means that would allow for "safer gardening" even in the inner city. When you are living right next to the highway, all that will yet probably be useless. I don't know if you have something like that wherever you are from, but the good old German "Schrebergarten" (=allotment garden), is becoming increasingly popular, over here - and, as I initially mentioned, not just among old stuffy men and their garden goblins; for me personally that would not be an option, but who knows, maybe it is for you?
Bottom line: Done right, i.e. not directly next to a high traffic street and without the use of standard commercial soils and fertilizers, yet fully aware that neither the "remarkable taste" of your tomatoes, carrots & co, nor being able to say "I produced it in your own garden" let alone "on my own balcony" will  protect you from the toxins that may be present in what your 100% pesticide free produce, gardening does still offer a safe and above all self-empowering alternative to buying all your goods at the farmers market, super market or wherever else you prefer to shop.
References:
  • Alloway, BJ. Contamination of soils in domestic gardens and allotments: a brief review. Land Contamination and Reclamation. 2004; 12:179-187
  • Burda GmbH, 1993. Wohnwelten und Gärten in Ostdeutschland: Alltagsästhetik, Wohnmotive, Wohnstile, Gartenwerte und Gartenstile in den neuen Bundesländern. ein Forschungsbericht der Burda-GmbH, Offenburg, und Sinus, Heidelberg, 108 p. (German).
  • Hunter D, Foster M, McArthur JO, Ojha R, Petocz P, Samman S. Evaluation of the micronutrient composition of plant foods produced by organic and conventional agricultural methods. Crit Rev Food Sci Nutr. 2011 Jul;51(6):571-82.
  • Katz JM, Winter CK. Comparison of pesticide exposure from consumption of domestic and imported fruits and vegetables. Food Chem Toxicol. 2009 Feb;47(2):335-8. Epub 2008 Nov 27. 
  • Säumel I, Kotsyuk I, Hölscher M, Lenkereit C, Weber F, Kowarik I. How healthy is urban horticulture in high traffic areas? Trace metal concentrations in vegetable crops from plantings within inner city neighbourhoods in Berlin, Germany. Environ Pollut. 2012 Jun;165:124-32. Epub 2012 Mar 22.
  • Shinn NJ, Bing-Canar J, Cailas M, Peneff N, Binns HJ. Determination of spatial continuity of soil lead levels in an urban residential neighborhood. Environmental Research. 2000; 81:1-7.

Saturday, August 11, 2012

On Short Notice: PWO EAA Supps for Young & Old, Indoor Pools & Low Testosterone, Life-Savingly Low T3/rT3 Ratios, Copper-Zinc-Manganese, Lifting for Prostate Health +More

Image 1: It's neither just as much, nor just as serious, but I would still venture the guess that it will take you more than 30s to digest today's installment of "On Short Notice" - despite the fact that the new format has no lengthy "short news", anymore ;-)
For this installment of "On Short Notice" I have decided to go a somewhat different route than before: Originally, the first post you would have read after this short introduction would have dealt with the potential negative health effects of homogenized milk. What was intended as a "on short notice" item, did however become lengthier and lengthier, until it finally turned into an "almost full-length post" (a slightly extended version of this article is going to be published on Monday). This "incident" made me revisit the last installments of this series only to realize that the majority of the supposedly "short" On Short News items had become "almost full-length posts" and were thus either somewhat overblown or still to short for what the study / topic had to offer...

To cut a long story short, I decided to stick to the very short items, formerly known as "On Very Short Notice" from now on.  If you have any reasonable objections against this practice, feel free to use the comment area of this post to complain. Do not forget, however, that you can still request a longer article on any particularly interesting topic or simply discuss the blurbs with me and others here or on the SuppVersity Facebook wall... Ready? Let's roll!
  • Figure 1: Ratio of muscle intracellular leucine to blood leucine concentration in response to
    resistance exercise and ingestion of 20 g of essential amino acids in young and older men.
    Older physical culturists can't "eat to grow" benefit from EAA ingestion - at least not to the same extend younger lifters do. And while this alone would hardly qualify as "news", the, or I should say one of the underlying reasons Jared M. Dickinson and his colleagues discuss in a paper that's scheduled to be published in the next issue of the Journal of Clinical Nutrition certainly is (Dickinson. 2012).
    One hour after the 7 young (30 ±2yr) and 6 old (70 ±2yr) male "recreationally active" study participants had performed a standardized leg training program consisting of 8 sets of 10 reps on a Cybex leg extension machine at an intensity of 70%RM (3 min rest between sets) Dickinson et al. supplied them with a 500ml of a fluid that contained 20g of leucine enriched essential amino acids (EAA) (exact composition: histidine 8%, isoleucine 8%, leucine 35%, lysine 12%, methionine 3%, phenylalanine 14%, threonine 10%, and valine 10%). In the hours following the leg training the scientists measured the amino acid flux and took muscle biopsies from the vastus lateralis to quantify the amino acid transporter (the "shuttle" that carries the amino acids from the blood stream into the muscle) expression in the trained leg muscles of their subjects.
    Contrary to what happened in the younger subjects, the expression of the transporter proteins was not further augmented (over exercise alone) in response to the ingestion of the EAA supplement in the older study participants. Consequently, the restoration of the intra- to extracellular amino acid ratio which was complete after 5h in the young subjects took more time and was not completed, when the third biopsy was taken at T=5h in the older subjects (see figure 1). A result, which (re-)emphasizes the paramount importance of physical activity in older people not just to become stronger, but also to ward off sarcopenia (=muscle loss) and subsequent frailty!
  • Figure 2: Unadjusted (top, middle) and adjusted (bottom) testosterone levels in adolescent boys depending on their exposure to chlorinated indoor-pool water before the age of 7y (bottom) and 10y (top, middle) respectively.
    Michael Phelps & Co at high risk of low testosterone - That's at least what we'd have to conclude from a 2011 paper that was published in the International Journal of Andrology by Nickmilder et al. who found that there is a clearcut association with early life exposure to chlorinated indoor-pool water and low testosterone levels in adolescence (and probably later in life, although that was not part of the study; cf. Nickmilder. 2011)
    As the data in figure 2 shows, the association with lower testosterone levels is most pronounced (p < 0.01) when the data was adjusting for inhibin B, FSH, age, time of blood sampling and breastfeeding (figure 2, bottom). With p < 0.05 (=5% chance that this is just coincidence) even the unadjusted values for pool water exposures of >250h before the age of 7 years were however statistically significant and as the scientists point out probably a result of the prolonged exposure of the "highly permeable scrotum" (Nickmilder. 2011)  to chlorinated water.
    Intriguingly, Bob Weinhold mentions in his otherwise rather critical comment on the study that Shanna Swan, a professor of preventive medicine at the Mt. Sinai School of Medicine, did not just criticize the "paucity of evidence from other studies", but also her hint at "effects from bath water exposures" as potential confounding factors (Weinhold. 2012). Against that background I suggest you go and take a very close look at the label of whatever cosmetic products you pour into your (male) children's bathwater.
  • Image 2: The dreaded low T3/rT3 ratio appears to be life-saving for critical ill patients. And when you come to think about it, it could well be a "natural mini coma" by which your body diverts all available resources to the one thing that's certainly more important than having a six pack: SURVIVAL!
    Low T3/rT3 ratio protects critical ill from death!
    While 1000s of visitors of various bulletin boards and discussion groups on the Internet are whining about a too low ratio of the "active" to the "inactive" form of triiodothyronine, the observation Marijke Gielen and her colleagues made, when they studied the chance of critically ill patients to be released early and alive from hospital, would suggest that rT3 is way more than a nasty millstone around the neck of (over-)dieters. After all, Gielen et al. found that the patients with the best blood glucose control and lowest T3/rT3 ratios had a +19% increased chance of being released early and alive (Gielen. 2012). An increase in the T3/rT3 ratio, on the other hand, was independently of glucose management, associated with a -14% lower chance of being released early and alive!
    I guess that this should be reason enough to rethink the generally touted "uselessness of rT3", wouldn't you agree? After all, it could well be that it is the rT3 induced metabolic slowdown that allowed for optimal recovery - much similar to the artificial coma physicians will induce in burn victims or other critically patients to have them recover faster / at all. This would yet also imply that having a very low T3/rT3 ratio is - as I've previously mentioned, by the way - a good indicator of other, non-thyroid related pathologies you should better try to spot and take care of before they will eventually show up and turn you into a subject for a follow up study for Gielen et al. (related: "T4+T3 Combination Therapy Instead of T4 Mono-Therapy")
  • Figure 3 (Zhu. 2012): Vitamin D3 is converted to the active metabolite 1,25(OH)2D3 by sequential 25-hydroxylation and 1a-hydroxylation.
    Slow conversion of D3 to 25-OHD in the obese suggests: Low vitamin D is a result of obesity - not vice-versa! Within the past decade(s) many scientists have observed correlations between higher adiposity and lower vitamin D levels (e.g. Arunabh. 2003). Only within the last 5 years or so, however, those results have been interpreted as "scientific evidence" that low vitamin D levels play a causative role in the current obesity epidemic. First evidence for the opposite, i.e. a causative relationship between obesity and the occurrence of chronically low systemic vitamin D levels in obese individuals (90%+ of the obese women in the study had 25OHD level <50nmoll−1; Wamberg. 2012), does yet come from a study that has been published in the International Journal of Obesity a couple of weeks ago.
    According to the Wamberge et al. present in their paper, the occurence of low 25(OH)D levels in the sera of obese individuals is a direct consequence of the sluggish bioactivation of vitamin D3 in the subcutaneous adipose tissue of obese patients. The latter is due to the -71% and -49% reduced expression of the two of the enzymes from the cytochrome P450 enzyme cascade (25-hydroxylase and 1α-hydroxylase, to be precise, see figure 3), which are responsible for the conversion of dietary or skin-derived (after sun exposure) vitamin D3 to 25(OH)D, which is the form of "vitamin D" your doctor will usually measure, and the "active" form of vitamin D, 1α,25-dihydroxyvitamin D3 (1,25(OH)(2)D(3) aka calcitriol.
  • Image 3: That's what active prostate cancer prevention can look like - no vaccine necessary!
    Heavy lifting protects against prostate cancer! This is the result of yet another of a whole host of studies which finally acknowledge the value of weight training with respect to all sorts of health benefits that have previously been ascribed to aerobic training only (Teixeira. 2012). Published ahead of print in the online version of the Scandinavian Journal of Medicine & Science in Sports the paper by Teixeira et al. is the first one to report that strength training can reduce the risk of prostate cancer by (re-)establishing a healthy balance between natural cell death and growth.
    In the course of a 91-day period a group of rodents were exposed to a daily "weight lifting regimen" (=jumping, 4x10 jumps with 50–70% of their body weight strapped to the thorax and 60–s rests between sets). This torture lead to an increase in corticosterone (=cortisol), DHT and testosterone levels, and brought about a healthier ratio of cell growth to apoptosis in the prostates of the animals than it was present in the age-matched sedentary control.
  • Figure 4: Building muscle requires more than just pumping existing fibers full of protein (click on the image to read up on the details)
    Scientists confirm Intermittent Thoughts on Building Muscle: Myostatin allows cells to "blow up", but does not facilitate structural changes. What's funny though, is that Lee et al. obviously feel that this is a great thing; and while it may actually be in the context of sarcopenia (pathological muscle dystrophy), where agents that block myostatin could proof very valuable tools, it just confirms that these agents are of little use, if not counterproductive for athletes and physical culturists who would always have to be on the look-out not to outgrow the necessary (re-)construction process, of which I have argued in the Intermittent Thoughts on IGF-1 an Its Splice Variants, already that it is necessary to keep the ever-growing muscles functional.
    So, in case you have a few vials of a real myostatin inhibitor lying around (not the hilarious egg-derived supplement that was sold a couple of years ago by snake oil vendors), you better talk to your medical practitioner about some growth hormone, as well, if you don't want to end up huge, but so weak that you can't make it up the five stairs in front of your gym ;-)
  • Image 4: While some experts say otherwise it appears illogical that the increase in breast tissue density, that's characteristic of women with a non-android body fat distribution would increase breast cancer risk. The majority of studies still ascribes a much higher increase in cancer risk to abdominal obesity (=android fat).
    Silicon boobs? Not necessary if you stay in shape! While the overall size still is a matter of genetics, the density of the female breast shows such a strong negative association with the android : gynoid ratio in young women (one standard deviation up corresponds to a -20% reduction in dense breast tissue; Dorgan. 2012) that it would seem as if simply staying in shape and thus avoiding the accumulation of body fit in the "unfemale" android areas could would (other factors like breastfeeding etc. aside) save one or another woman from a still very much underestimated and by no means just monetarily costly operation (cf. Bolton. 2012). And let's be honest: What are those silicon balls worth anyway, when the blubber starts shortly beneath? What certainly is bad news for the adolescent obesity generation , though is that childhood obesity is an even stronger predictor of low amounts of dense breast tissue. Even after adjustment for adult obesity each BMI z-score, i.e. one standard deviation upwards, was associated with a -27% decrease in tender breast tissue.
    Against that background it appear dubious, whether or not the often touted association between dense breast tissue and breast cancer risk is by any means a causative one... after all Abu-Abid et al. report in their review on the literature that abdominal obesity, i.e. an android body fat pattern is one of the best predictors of increased risk for all cancers (Abu-Abid. 2002).
  • Are manboobs a sign of intelligence? Could be if we put any faith into the relation between the size of your hippocampus and your intellectual capacity, the findings Janine Bayer and her mostly female colleagues (this could be important, who knows maybe this is a feminist conspiracy!?) report in their latest paper on the effects a certain genetic polymorphicism (rs700518) in the aromatase enzyme CYP19A1 will have on both systemic as well as hippocampal estrogen levels and had the volume of the posterior hippocampal gray matter (Bayer. 2012). Unfortunately most manboobs today are a simple result of overaromatization due to obesity and whether this is a hallmark feature of superior intelligence appears at least questionable to me (suggested read: "Chest Fat, Bitch Tits, Chesticles and How to Get Rid Off Them")
  • Image 5: 1x 1g of taurine = 1.5% faster 3k-times in trained middle distance runners - another benefit of the underrated sulfur amino acid, taurine
    Taurine works for 3k-runs as well that's the simple message of a recently published study by Balshaw et al. In the randomized, double-blinded crossover experiment the ingestion of 1,000mg of taurine immediately prior to a 3km run increased the time-trial performance of the eight trained middle-distance runners by statistically significant 1.5%, on average (Balshaw. 2012); this does allegedly not sound like much, but if you take into consideration that this was a single serving effect it is actually quite impressive compared to the the ~1% performance increment in the narrow range of 90-120s activities that has recently reported to come out of weeks of beta alanine supplementation.
    So, if the testosterone boosting, anti-diabetic effects of taurine (see "Up to 180% Increase in Testosterone & More From Taurine") did not already convince you to invest the ~$20 for a 500g batch of this sulfur amino acid, maybe these results and a couple of hours in front of the TV watching track & fields events at the Olympic Games '12 can ;-)
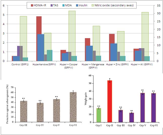
  • Figure 5: Glucose metebalism markers of oxidation and nitric oxide (top) calculated artheorscleortic risk (bottom, left) and body weight gain (bottom right) in the different groups
    Differential and common effects of zinc, copper and manganese supplementation on body weight gain, glucose metabolism and cardiovascular health have recently been reported by scientists from the Usmanu Danfodiyo University in Nigeria. In their paper that has been published in the Journal of Oxidative Medicine and Cellular Longevity Muhammad et al. report that the provision of high copper (4mg/kg), high manganese (10mg/kg) and high zinc (20mg/kg) diets or the addition of all three supplemental minerals to the diets of salt-loaded hypertensive male Wistar rats all offered at least some protection against the oxidative stress, dyslipidemia, and insulin resistance that's associated with hypertension.
    As the data in figure 5 goes to show, the provision of additional copper does yet appear to exert the most benefits. In view of the short duration of the study, it would yet be more than premature to recommend copper only supplementation regimens in the absence of proven and most importantly specific deficiencies. Rather than that those of you who are suffering from the triumvirate of elevated blood pressure, insulin resistance and dislipidemia would probably be better off if they increased their overall intake of these trace minerals.
  • Image 6: Sounds stupid, but if you are concerned about your dopamine receptor count, you better make sure to eat the bun and order an extra large coke (the original with tons of sugar, of course ;-)
    High fat / low carb = reduced striatal dopamine receptor availability this is the quintessence of a short communication that has been published in the International Journal of Obesity three days ago. According to E van de van de Giessen and his co-workers, rats on a high fat high fat diet (this is no typo but the way of the researchers to acknowledge that the "original high fat diet" as it is interpreted by most scientists is almost equally high in carbohydrates (calorie-wise) as it is in fat; not so for the "High Fat High Sugar High Fat" (HFHS hf) diet in the van de Giessen study. Compared to the regular high fat diet, the HFHS-hf diet ameliorated the increase in energy intake, but reduced the availability of D2 & D3 receptors in the nucleus accumbens.
    Overall, the ratio of fat to carbohydrate in the diet and not as it has previously been speculated the degree of adiposity or the total energy intake were the most and only significant correlate of the central dopamine receptor downregulation the researchers observed in their test animals (Giessen. 2012). In view of the fact that Fetissov et al. speculated in 2002, already, that "[l]ow D2 receptor expression may be causal for an exaggerated dopamine release observed in obese rats during food ingestion" (Fettisov. 2002) this is bad news - as it would indicate that the low carb induced reduction of dopamine receptor density could precipitate to reward driven episodes of overeating... an emphasis is on the conditional, here, as the majority of low-carb dieters will probably confirm my gut feeling that during the low carb diet, the exact opposite appears to be the case (at least as long as we are talking about even more fatty foods ;-).
  • Image 8: According to Hwang et al. it does not matter how you cook your broccoli, if you want to keep the glucosinolates intact. The main point is that you do it fast!
    Cooking your veggies without water reduces cholesterol oxidation and improves potassium status that's what a group of Japanese researchers who declare they do not have any affiliation with the producer of multi-ply cookware, Vita Craft Japan Ltd, found in a 2-week intervention study in the course of which both the "just eat your veggies" and the "eat your veggies, but cook them without water in multi-ply cookware(TM)" (the product reference is #5123) increased their beta carotene and vitamin C levels and decreased their LDL and total cholesterol levels, but only the "without water cookers" had significantly reduced oxidized LDL and profoundly improved (=lower) Sodium : Potassium ratios in their urin (Mori. 2012).
    Now, while this sounds as if it would make sense to buy this cooking "gear" things look somewhat different, when you take a look at the absolute differences and outcomes. While the oxidized LDL levels did in fact improve more in the muli-ply group this brought them just back into the exact same range where they were hovering in the other groups, as well. Similarly, the Na:K ratio was better, but it did improve in the "regular cooking" group as well and would thus probably end up in the same range, after another 2-6 weeks of vegetable eating - regardless of whether you cook them with water or not. Things would probably not be much different for the glucosinolate content of broccoli of which Hwang et al. report in the same issue of the International Journal of Food Sciences and Nutrition report that, they decreased significantly and time-dependently during boiling, steaming and microwaving (Hwang. 2012)
  • Black tea, lemon and honey: Can you stack it? Yes, you can! Camellia sinensis, Citrus limon and Apis mellifera all have a record of being potent antioxidants, but according to a paper in the August issue of the International Journal of Food Sciences and Nutrition lemon-flavoured black tea becomes an even more potent health drink, when you "spike" it with honey (Pereira. 2012).
    Moreover, Pereira et al. found that the darker species of the different honeys from Lavandula stoechas, Erica sp. pl. and other indigenous floral species from north-east Portugal they tested were more potent than the light amber varieties.
  • Image 9: The powdery Matcha tea is not only already high in catechines, it will also release>130x more of it's EGCG content into the brewing water than most regular green teas! And as if that wasn't enough, it has a 64% higher caffeine concentration (6.4 vs. 3.9mg/g), as well.
    Matcha tea has an uber-potent 137x increased EGCG content! This is one of the "oldie but goldie" studies I hit upon when I did "colleteral research" in response to a Highbrow Paleo member complaining that the over-potent Matcha tea literally blew him away. Actually not very surprising in view of the fact that it contains 137x more EGCG than regular green tea (brand China Green Tips; cf. Weiss. 2003). And while the selection of a specifically catechin rich fraction will figure here, as well, much of the effect is probably simply a result of the increased surface area and thus the greater efflux of the bioactive ingredients into the brew the tea is steeped in.
    In view of the previously reported negative effects very high doses of green tea catechins can have on your testicular health all matcha lovers out there should better limit their daily consumption to one or two cups of the exclusive brew (see "20% Reduction in Testosterone with 5 Cups of Green Tea").
  • Oral anti-oxidants restore glutathione in diabetic skin At least in rodents this works pretty damn well. According to Sokmen et al. all it takes to restore the natural antioxidant defense system in the skin of streptozotocin-induced diabetic rats (model of type II diabetes) are 250 mg/kg vitamin C, 250 mg/kg vitamin E and 0.2 mg/kg selenium (Sokmen. 2012). The human equivalent of these orally supplied antioxidants would be 40mg/kg vitamin C, 45 IU/kg vitamin E and 30µg/kg selenium - all much too high to benefit anyone who is not diabetic, by the way.
  • Image 10: Usually I am really enthusiastic about new technologies, but looking at how careful physicists handle nanomaterials, and how food designers and the cosmetic industry unleash them on the costumers, like the US and UDSSR unleashed the a-bomb radiation on their own soldiers, ignorant of the (un?)known dangers.
    Nano-sizing fish oil doubles absorption - This is the result of a recently conducted rodent trial by Tanmoy kumar Dey the results of which are soon going to be published in Food Research International (kumar Dey. 2012). The more than +50% increased absorption the scientists found for their nano emulsified fish oil in the small intestine of the lab rats is - at least in my humble opinion - somewhat frightening. Firstly, I am really not sure we really need the hilarious amounts of fish oil, where the use of respective products would make sense (it should be said, though, that this new formula has been developed for parenteral nutrition, specifically). We have, secondly, not the slightest idea if those nano-sized fish oil molecules behave anywhere similar to their fluffy large brethren - who tells us that they don't have the exact opposite effect on our health?
    And third and lastly, if nano-sized fish oil is absorbed 100% more efficiently, all other nanomaterials - especially those that are nor increasingly popular in the cosmetic industry - will have a similarly increased "bioavailability" and could thus not only reach places in our body they were never intended to reach, but do just that in very significant amounts!
References
  • Abu-Abid S, Szold A, Klausner J. Obesity and cancer. J Med. 2002;33(1-4):73-86. Review.
  • Arunabh S, Pollack S, Yeh J, Aloia JF. Body fat content and 25-hydroxyvitamin D levels in healthy women. J Clin Endocrinol Metab. 2003 Jan;88(1):157-61.
  • Balshaw TG, Bampouras TM, Barry TJ, Sparks SA. The effect of acute taurine ingestion on 3-km running performance in trained middle-distance runners. Amino Acids. 2012 Aug 2.
  • Bayer J, Rune G, Kutsche K, Schwarze U, Kalisch R, Büchel C., Sommer T. Estrogen and the male hippocampus: Genetic variation in the aromatase gene predicting serum estrogen is associated with hippocampal gray matter volume in men. Hippocampus. 2012.
  • Boulton TN, Malacrida C. Women and cosmetic breast surgery: weighing the medical, social, and lifestyle risks. Qual Health Res. 2012 Apr;22(4):511-23.
  • Dickinson JM, Drummond MJ, Coben JR, Volpi E, Rasmussen BB, Aging differentially affects human skeletal muscle amino acid transporter expression when essential amino acids are ingested after exercise, Clinical Nutrition. 2012.
  • Dorgan JF, Klifa C, Shepherd JA, Egleston BL, Kwiterovich PO Jr, Himes JH, Gabriel KP, Van Horn L, Snetselaar LG, Stevens VJ, Barton BA, Robson AM, Lasser NL, Deshmukh S, Hylton NM. Height, adiposity and body fat distribution and breast density in young women. Breast Cancer Res. 2012 Jul 16;14(4):R107.
  • "Caffeine." Encyclopedia of Drugs, Alcohol, and Addictive Behavior. Ed. Rosalyn Carson-DeWitt. Vol. 1. Gale Cengage, 2001. eNotes.com. 11 Aug, 2012 <http://www.enotes.com/caffeine-reference/>
  • Fetissov SO, Meguid MM, Sato T, Zhang LH. Expression of dopaminergic receptors in the hypothalamus of lean and obese Zucker rats and food intake. Am J Physiol Regul Integr Comp Physiol. 2002 Oct;283(4):R905-10.
  • Gielen M, Mesotten D, Wouters PJ, Desmet L, Vlasselaers D, Vanhorebeek I, Langouche L, Van den Berghe G. Effect of Tight Glucose Control with Insulin on the Thyroid Axis of Critically Ill Children and Its Relation with Outcome. J Clin Endocrinol Metab. 2012 Aug 7.
  • Hwang ES, Kim GH. Effects of various heating methods on glucosinolate, carotenoid and tocopherol concentrations in broccoli. Int J Food Sci Nutr. 2012 Jul 10.
  • kumar Dey T, Ghoshb S, Ghoshb S, Koleyc H, Pubali, D. Comparative study of gastrointestinal absorption of EPA & DHA rich fish oil from nano and conventional emulsion formulation in rats. Food Research International. 04 Aug 2012.
  • Lee SJ, Huynh TV, Lee YS, Sebald SM, Wilcox-Adelman SA, Iwamori N, Lepper C, Matzuk MM, Fan CM. Role of satellite cells versus myofibers in muscle hypertrophy induced by inhibition of the myostatin/activin signaling pathway. Proc Natl Acad Sci U S A. 2012 Aug 6.
  • Mori M, Hamada A, Mori H, Yamori Y, Tsuda K. Effects of cooking using multi-ply cookware on absorption of potassium and vitamins: a randomized double-blind placebo control study. Int J Food Sci Nutr. 2012 Aug;63(5):530-6. Epub 2012 Jan 9.
  • Muhammad SA, Bilbis SL, Saidu Y, Adamu Y. Effect of Antioxidant Mineral Elements Supplementation in the Treatment of Hypertension in Albino Rats. Oxidative Medicine and Cellular Longevity, vol. 2012, Article ID 134723, 8 pages, 2012.
  • Nickmilder M, Bernard A. Associations between testicular hormones at adolescence and attendance at chlorinated swimming pools during childhood. Int J Androl. 2011 Oct;34(5 Pt 2):e446-58.
  • Oosting A, Kegler D, Wopereis HJ, Teller IC, van de Heijning BJ, Verkade HJ, van der Beek EM. Size and Phospholipid Coating of Lipid Droplets in the Diet of Young Mice Modify Body Fat Accumulation in Adulthood. Pediatr Res. 2012 Jul 31.
  • Pereira C, Barros L, Vilas-Boas M, Ferreira IC. Potentiating effects of honey on antioxidant properties of lemon-flavoured black tea. Int J Food Sci Nutr. 2012 Aug 3.
  • Sokmen B, Basaraner H, Yanardag R. Combined effects of treatment with vitamin C, vitamin E and selenium on the skin of diabetic rats. Hum Exp Toxicol. 2012 Aug 2.
  • Teixeira GR, Fávaro WJ, Pinheiro PF, Chuffa LG, Amorim JP, Mendes LO, Fioruci BA, Oba E, Martins OA, Martinez M, Martinez FE. Physical exercise on the rat ventral prostate: Steroid hormone receptors, apoptosis and cell proliferation. Scand J Med Sci Sports. 2012 Jul 26. 
  • van de Giessen E, la Fleur SE, Eggels L, de Bruin K, van den Brink W, Booij J. High fat/carbohydrate ratio but not total energy intake induces lower striatal dopamine D2/3 receptor availability in diet-induced obesity. International Journal of Obesity. 7 August 2012.
  • Wamberg L, Christiansen S, Paulsen SK, Fisker S, Rask P, Rejnmark L, Richelsen B, Pedersen SB. Expression of vitamin D-metabolizing enzymes in human adipose tissue—the effect of obesity and diet-induced weight loss. International Journal of Obesity. 17 July 2012.
  • Weinhold B. Can indoor swimming alter hormones in boys? Environ Health Perspect. 2012 Jan;120(1):A18.
  • Weiss DJ, Anderton CR. Determination of catechins in matcha green tea by micellar electrokinetic chromatography. J Chromatogr A. 2003 Sep 5;1011(1-2):173-80. 
  • Zhu J, DeLuca HF. Vitamin D 25-hydroxylase - Four decades of searching, are we there yet? Arch Biochem Biophys. 2012 Jul 1;523(1):30-6.