![]() |
| If there's one take-home message from the study at hand, it is: While both SB& BA work, it depends on the sport/exercise test if the effects will be significant. |
You will yet also remember that the synergistic effects you'd expect to see when you combine intra- (beta alanine) and extra-cellular (sodium bicarbonate) H+ buffers didn't show in every pertinent study in the SuppVersity archive.
Danaher, et al. (2014), for example, found no effect of combining both during performance test with fixed intensity and volume, while Tobias et al. (2013), whose study tested upper body performance and didn't limit either intensity or volume, did - it almost doubled the total work the subjects performed. Why's that important? Well, if you look at the study design of the latest bicarb + beta-alanine (BB) study by scientists from the University of Sao Paulo (da Silva 2018) you will find that both the training intensity and the total volume were capped. Therefore, it is not totally surprising that the performance benefits didn't reach statistical significance (there were benefits, though).
If it works (no runs + high intensity+volume exercise) bicarbonate is the king of H+buffers:
The subjects in da Silva 2018 were 72 trained cyclists (5 ± 4 years of experience in cycling, 9 ± 3 h of training/week, consisting of 235 ± 92 km/week) with a VO2max of 59-60 ml/kg/min that shows that they were real athletes (What's a high VO2max?).
If you develop digestive issues like "the runs" whenever you try to use sodium bicarbonate aka baking soda (NaHCO3), try to "serial load" it | learn here how that works. - Beta-alanine was preloaded for a month at a comparatively high dose (28 days at 6.4g/d; two capsules were ingested four times daily vs. maltodextrin (error in abstract) placebo).
- The 0.3g/kg body weight of sodium bicarbonate (or calcium carbonate placebo) was supplemented within max. 5 minutes 60 minutes before the performance test in 1-g gelatin capsules under supervision to ensure full compliance. Gastrointestinal discomfort was reported prior to and 60 min using a 10-point scale - serial loading protocol as I've described it in previous articles about the bicarb was not used.
- The food intake during the supplementation period was 'monitored' via 3-day food diaries the subjects had to fill on 2 non-consecutive weekdays and 1 weekend day. The analyses of these food logs showed that the subjects consumed ~2200kcal/d with approximately 52%, 18.5%, and 26.5% of the energy coming from carbs, protein, and fats, respectively - without inter-group differences.
![]() |
| Figure 1: Experimental design (upper panel) and overview of the main trials (lower panel). BA β-alanine, SB sodium bicarbonate, PL placebo, CaCO3 placebo for sodium bicarbonate, lac plasma lactate analysis, gas blood gas analysis, HICT-110% high-intensity cycling test performed at 110% of Wmax (da Silva 2018) |
How can you effectively blind beta-alanine and sodium bicarbonate, when one gives you the tingles and the other one the runs? That's a valid question and you could argue that the fact that three volunteers reported paresthesia with BA (BASB group) and nine participants (SB: 5; BASB: 4) reported gastrointestinal discomfort after ingesting sodium bicarbonate confirms that blinding is not possible for the two agents. Even though seven volunteers in the BA, five individuals in SB, six in BASB, and five in the PLA group rightly identified the arm (BA/PLA) they had been randomized to, the Fischer’s exact test showed a p-value of p = 0.85 for BA and p = 0.82 for SB, respectively - hence suggesting efficient blinding in spite tingling and tummy aches ;-)
Maltodextrin (the abstract falsely claims it was dextrose, which would be a very bad placebo due to its characteristic taste) and calcium carbonate were the placebos for BA and SB. Moreover, the randomisation was performed in blocks of 4 with groups being matched for time to complete a 30-kJ test to avoid significant baseline performance differences between the groups. And finally, blood was sampled before and in-between exercise bouts and the time trial, respectively, and the VO2 consumption measured continuously before and during the HICT110% test.![]() |
| Figure 2: Effects of β-alanine (BA) and sodium bicarbonate (SB) on the time to complete 30-kJ time-trial performance. The grey bar on c represents the 95% confidence interval of the coefficient of variation of the test. Positive and negative confidence intervals crossing zero on d were deemed nonsignificant (da Silva 2018). |
Measurable effects, but no significant performance increases - so what?
As previously hinted at, these results are not completely surprising, because the ergogenic effects of H+ buffers, in general, and bicarbonate in particular, critically depends on the build-up of sufficient amounts of H+ to be buffered. Within the very short (~60s) bouts of exercise that was aborted when the subjects hit the 30-kJ mark this requirement probably wasn't met - or, in view of the non-significant benefits, it was at least not met to a sufficient degree.
![]() |
| Figure 3: The amelioration of the decline in blood pH and bicarbonate shows that the SB treatment did what it was supposed to do - work as a buffer. However, as Figure 2 shows, the differences in pH and blood HCO3 were obviously too small to make a significant difference during the very short 30kJ performance test (da Silva 2018). |
The scientists argue as follows: "Assuming the typical 6 mmol/l increase in blood bicarbonate following SB ingestion and 5 l of total blood volume, then SB ingestion would allow the neutralisation of ~ 30 mmoles of H+ above baseline (based on the 1:1 stoichiometry of HCO3− and H+ reaction). This is approximately two times more than the ~ 15 mmoles of H+ that a typical 80% increase in muscle carnosine (from 20 to 35 mmol/kg dry muscle after BA supplementation) can neutralise in both legs (assuming that legs correspond to 30% of BM, that 40% of leg mass is skeletal muscle, and that 70% of wet muscle is water—therefore, 3 kg of dry muscle times ~ 5 mmoles of H+ per kg of dry muscle that can be neutralised by a 15 mmol kg−1 dry muscle increase in muscle carnosine). Therefore, the effects of SB on the glycolytic activation could be more easily detectable than those of BA due [to] a possibly greater ability of SB to neutralise H+" (da Silva 2018).
With that being said, we could have been able to be more specific if it were not for two important limitations of the study the scientists willingly admit in the discussion of the results: The first limitation is the lack of direct muscle analyses that could have (a) told us if and to which degree the muscle carnosine actually changed in response to the BA supplementation and (b) confirmed that the indirect measurement of the effects on energy metabolism was indeed accurate. The second limitation, which is not related to the study design, is a temporary malfunctioning of laboratory equipment which made it impossible for da Silva et al. "to undertake the estimation of the energy systems in all participants" (da Silva 2018) - maybe, the analysis of a complete dataset would have shown measurable and significant increases in glycolytic energy contribution for BA, as well.
![]() |
| Figure 4: Effects of β-alanine (BA) and sodium bicarbonate (SB) supplementation on the absolute contribution of the energy systems during the HCT-110% test (da Silva 2018). The increase glycolytic flux and improved ability to tap into the readily available glucose sources can be ascribed to the pH buffering effect of SB (Sutton 1981). |
"So, beta-alanine and sodium bicarbonate don't work, neither taken alone or in combination?" No, that's not what the study says. While significant effects on the performance markers measured in the study at hand were not observed, da Silva et al. found non-significant increases in exercise performance in both tests, especially, when the two H+ buffers were combined, and a potentially highly relevant 20% increase in the subjects ability to tap into their glycogen stores in the SB and BASB groups - in the "right" sport, this difference may well make the difference between winning an Olympic medal and ending up with a disappointing fourth rank (check out the infobox for more info why only sodium bicarbonate, but not beta-alanine, had this beneficial effect).
Moreover, in view of the previously mentioned non-significant performance increases my provocative statement from the question at the beginning of this conclusion, i.e. that BA and SB "don't work" should rather read "exert mea-surable, yet highly variable performance benefits", which simply may not have reached statistical significance, because (1) the effiacy of both agents has a high inter-individual varia-bility, with BA potentially failing in subjects with diet- or training-related naturally high carnosine levels (cf. Figure 5) and SB countering its own ergogenic effects via gastrointestinal distress (which was reported by nine participants in the study at hand), or because (2) H+ buffers excel in exercise capacity tests, i.e. tests in which you exert yourselves to the point of volitional exhaustion, as opposed to performance tests with a fixed point like the 30 kJ test in the study at hand, or because (3) the results of the study at hand despite being one of the better-powered investigations, may still "lack of statistical significance [...] due to insufficient statistical power to detect small effects" (my emphasis in da Silva 2018) - it's also possible that all three contributed synergistically to the lack of statistical significance of the results.
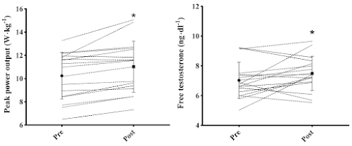
Instead of trying to make a general statement about the two ergogenics, which have also made the ISSN's TOP5 list of OTC ergogenic supplements, only recently (Kerksick 2018), we should use the publication of the study at hand to remind ourselves that the benefits of any supplement are sports-, exercise- and as the pronounced benefits in Tobias et al. (2013) suggest (see data in and caption of Figure 6) potentially even muscle-specific (e.g. upper vs. lower body).
So, what should you do? Well, one thing should be obvious: you should not throw away your 5kg bag of sodium bicarbonate and your 1kg tub of beta-alanine. Even though the performance benefits in the study at hand were at best borderline significant, there's a reason that both agents have been around for years (beta-alanine) and decades (bicarbonate) in the absence of sufficient research to tell for sure who will and who won't benefit from using them | Comment!
References:![]() |
| Bodybuilders have a sign. elevated muscle carnosine levels, it is yet not clear if that's an adaptational response to prolonged repetitive exposure to low muscle pH, the consumption of high carnosine foods like chicken, supplement use, or the use of anabolic steroids (Tallon 2005). Other studies show that men store more carnosine than women (Mannion 1992), omnivores more than vegetarians (Harris 2007), and that genetic factors which have hitherto only been confirmed in our omnivore 'cousins', the pigs (D'Astous-Pagé 2017), may figure as well. It is thus hardly surprising that the BA research as such yielded highly variable results which are, just as it's the case for the study at hand, difficult to interpret if the changes in muscle carnosine aren't measured. |
Instead of trying to make a general statement about the two ergogenics, which have also made the ISSN's TOP5 list of OTC ergogenic supplements, only recently (Kerksick 2018), we should use the publication of the study at hand to remind ourselves that the benefits of any supplement are sports-, exercise- and as the pronounced benefits in Tobias et al. (2013) suggest (see data in and caption of Figure 6) potentially even muscle-specific (e.g. upper vs. lower body).
![]() |
| Figure 6: With an upper-body Wingate test, the study by Tobias et al. (2013) I covered 5 years ago used didn't just use an exercise capacity test that didn't limit the total work done, but also tested the effects on a different muscle group - et voila: Tobias et al. found significant increases in total work and mean power with the combination of BA +SB. |
- Cairns, Simeon P. "Lactic acid and exercise performance." Sports Medicine 36.4 (2006): 279-291.
- Carr, Benjamin M., et al. "Sodium bicarbonate supplementation improves hypertrophy-type resistance exercise performance." European journal of applied physiology 113.3 (2013): 743-752.
- da Silva, Rafael Pires, et al. "Effects of β-alanine and sodium bicarbonate supplementation on the estimated energy system contribution during high-intensity intermittent exercise." Amino Acids (2018): 1-14.
- Danaher, Jessica et al. "The effect of β-alanine and NaHCO3co-ingestion on buffering capacity and exercise performance with high-intensity exercise in healthy males." Eur J Appl Physiol (2014) 114:1715–1724.
- Harris, Roger C., et al. "The carnosine content of V Lateralis in vegetarians and omnivores." (2007): A944-A944.
- Kerksick, Chad M., et al. "ISSN exercise & sports nutrition review update: research & recommendations." Journal of the International Society of Sports Nutrition 15.1 (2018): 38.
- Mannion, A. F., et al. "Carnosine and anserine concentrations in the quadriceps femoris muscle of healthy humans." European journal of applied physiology and occupational physiology 64.1 (1992): 47-50.
- D'Astous-Pagé, Joël, et al. "Identification of single nucleotide polymorphisms in carnosine-related genes and effects of genotypes on pork meat quality attributes." Meat science 134 (2017): 54-60.
- Sutton, J. R., N. L. Jones, and C. J. Toews. "Effect of pH on muscle glycolysis during exercise." Clinical science 61.3 (1981): 331-338.
- Tallon, Mark J., et al. "The carnosine content of vastus lateralis is elevated in resistance-trained bodybuilders." Journal of Strength and Conditioning Research 19.4 (2005): 725.
- Tobias, Gabriel, et al. "Additive effects of beta-alanine and sodium bicarbonate on upper-body intermittent performance." Amino acids 45.2 (2013): 309-317.














































