 |
| No rest(-day) allowed - at least during the short (!) overreaching phase you will be training through the pain & fatigue if you are determined to succeed. |
You've read about the difference between the catabolic, anti-adaptive effects of overtraining and over
reaching before, but do you actually know what it takes to over
reach not
train? In a recent study from the
Ritsumeikan University you may find some clues that may help us answer these questions, but before we do so, let's take a brief look at the study design and outcomes, the authors give away in the title already: "Planned Overreaching and Subsequent Short-term Detraining Enhance Cycle Sprint Performance" (Hasegawa. 2015) - A study designed to investigate the effects of a training program consisting of planned overreaching and subsequent short-term detraining on sprint performance.
You can learn more about overtraining and checking your training status at the SuppVersity

Heart Rate Variablity (HRV)

ABEL Sports Test + More

Overtraining & Undereating

Calculate your Energy Intake!

Overtraining W/ Only 25min/day?

Reinvent Your Training!
Over the course of the three-week (*) study, 24 physically active men (age, height, and body weight (BW) were 21.7 ±1.4 years, 175.2±4.3cm, and 75.0± 14.6kg, respectively) participated in an 18-day sprint-training program. None of the subjects was participating in a regular training program (*) at the start of the study, when they were randomly allocated to one out of two training groups:
- the overreaching-detraining (OR-DT), in which the subjects performed maximal cycle sprint training on 12 consecutive days, followed by 6 days of detraining (=no exhausting physical activity at all | like 12xA - 6xR) and
- the control (CON) group, in which a complete day of rest was provided after every 2 successive training days (like A-A-R-A-A-R- [...])
For both groups, the training sessions consisted of 2–4 sets of 30 s of maximal pedaling on an electromagnetic cycle ergometer (Powermax V3, Konami Sports & Life Co., Ltd., Tokyo, Japan). Each set was followed by a 7-min rest period. The resistance for the first set was set 7.5% of BW, and it was reduced to 5.0 % of BW for the subsequent sets. During each training session, the subjects were verbally encouraged and instructed to give their maximal effort.
 |
| Figure 1: Overview of the study design - Training schedules and number of sets (Hasegawa. 2015). |
You can see a summary of the protocol in
Figure 1 and may (maybe rightly) complain that the OR-DT group got more rest before the post-test on day 18 than the CON group.
What do we already know about overreaching? Unfortunately, we don't know how to make sure it's not turning from overreaching to overtraining, but that's one of the many questions scientists will still have to answer (Mackinnon. 2000). What we do know, though, is supplements like creatine or 0.4g/kg body weight EAAs and likely whey can help conserve the performance during and thus improve the outcome after overreaching periods (Ratamess, 2003; Volek. 2004). We also know that overreaching attenuates the testosterone response to workouts in untrained, but not trained individuals and A.M. cortisol, but no the cortisol response to workouts in both trained and untrained subjects (Fry. 1994). Both, the amount of creatine kinase and glutamate in the blood which can be used as indicators of muscle damage increase during periods of overreaching (Halson. 2003). Lastly, the changes in the immune markers indicate that athletes may be particularly prone to infections during phases of extra-(=too)intense training (Gleeson. 2002).
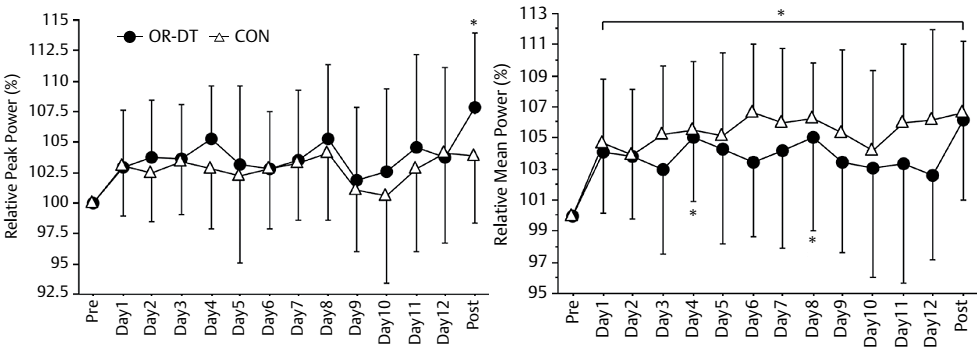
That's truly unfair, but it's the reality of competitive sports (*). After all, you have the choice of training like the control group before the event to make sure that you're full of sap or, alternatively, to follow the OR-DT program and start on game day maximally refreshed and with an adaptational bonus in the peak-power domain that may make all the difference when you're sprinting towards and over the finish line (see
Figure 2).
 |
| Figure 2: Relative peak power and mean power during the pre- and post-test days as well as on the differently timed training days in the OR-DT and CON group (Hasegawa. 2015). |
Now, I guess the less-regular SuppVersity readers will be surprised to hear that all that happened in spite of the lack of significant differences in the testosterone levels, markers of muscle damage, lactate and glucose in the blood of the subjects in the two arms of the study.
 |
| The supercompensation of phospho-creatine stores may also explain the power gains in the overreaching + detraining group (Haegawa. 2015), but still, do not underrate the ergogenic benefits of the stress hormone cortisol - it's on the WADA list for very good reasons, esp. wrt endurance sports! |
What's powering these peak performance gains? Ok, one thing is discussed below in detail: The 6-days of rest allowed for sign. higher cortisol outputs during the test and that's
actutely a good thing. There's yet more: The intra-muscular phosphocreatine concentrations, the same stuff you wanna boost, when you consume creatine, which were not different before the study, developed very differently over the course of the study. While the intramuscular PCr concentrations increased significantly after 12 days of daily training in the OR-DT group (P<0.05, 69 % increase relative to value before training, described as "Post 1" in the
Figure on the left, the CON group subjects saw no change in PCr, at all. With it's ability to fire short term high performance bouts, the PCr advantage may also be at the heard of the relative preak power benefits of OR-DT group.
For regular SuppVersity readers this should be as unsurprising, though as the fact that the OR-DT's ability to maximize their cortisol response at the post test is probably (one of the) reasons that they kicked their competitions a$$ when it comes to peak performance... unbelievable?
 |
| Figure 3: Cortisol levels in the Hasegawa study (2015) in the pre- and post-test (left); maximal endurance (T in min) in Katia Collomp's 2008 investigation into the effects of acute glucocorticoid administration on cycling endurance (right). |
Well, take a look at the endurance performance of the cyclists in Katia Collomp's 2008 study (Figure 3, right) - what did almost double the endurance of her subjects? Yes, it was synthetic cortisol - prednisolone at a dosage of 60mg to be precise. And just as it is important to point out that these benefits are restricted to acute short term increases, it is noteworthy, that, in the Hasegawa study, the cortisol response during the over-reaching phase was as, if not more blunted as it was in the CON group.
 |
| SV Classic: "Optimal Rest Between Workouts? Despite Inter-Personal and Exercise-Specific Differences 72h May be a Valid Rule of Thumb - Especially for Compound Movements" | more |
(*) What do these asterisks mean and what's the bottom line? Two good questions which are, as I would like to point out closely related. How? Well, let's take the training duration of only 18 days, for starters. The easiest way to turn over
reaching into over
training and thus all beneficial short-term into long-term negative effects is by over
reaching for too long. And two weeks are in fact quite a good time-frame to train like a maniac and complete rest for ~50% of the time thereafter doesn't look like a bad way to program it either. If you go longer, the increased activity of glycolytic and other catabolic enzymes, as it was observed by Parra et al. (2000) after 14 day of everyday, no rest incremental sprint training protocols, may ruin your results and fitness.
Unfortunately, there's also asterisk (*) number two you will find right after the information that we are not dealing with professional athletes. That's a problem, because it is unlikely that the ordeals a seasoned athlete can sustain and still gain are the same as those of a rookie. This does not mean that everyone needs more or longer hammering, though. In fact, many athletes are chronically over
trained. For them (Matos. 2011), the 6-day rest may be a good idea; to try to increase their performance by strategic over
reaching,on the other hand, would be madness and obviously counter-productive.
 |
| Overtraining is real and it's blocking future and reversing past gains | more |
This leads us to asterisk (*) number three and two conclusions: (A) There is no question that the protocol used in the study would have beneficial for the participants had there been a cycling competition on the post-training day. (B) The implications for professional athletes depend on their previous training style. For those on a sane protocol, similar benefits can be expected, although intensity and duration of the over
reaching phase may have to be upgraded (I am thinking of doing two-a-days, for example). For the underestimatedly large fraction of (wanna-be) athletes who are chronically over
training, anyways, any form of strategic over
reaching would be counterproductive |
Comment on FB!
References:
- Collomp, Katia, et al. "Short-term glucocorticoid intake combined with intense training on performance and hormonal responses." British journal of sports medicine 42.12 (2008): 983-988.
- Fry, Andrew C., et al. "Endocrine responses to overreaching before and after 1 year of weightlifting." Canadian Journal of Applied Physiology 19.4 (1994): 400-410.
- Gleeson, Michael. "Biochemical and immunological markers of over-training." Journal of sports science & medicine 1.2 (2002): 31.
- Halson, SHONA L., et al. "Immunological responses to overreaching in cyclists." Medicine and science in sports and exercise 35.5 (2003): 854-861.
- Hasegawa, Y., et al. "Planned Overreaching and Subsequent Short-term Detraining Enhance Cycle Sprint Performance." International journal of sports medicine (2015).
- Mackinnon, L. T., and S. L. Hooper. "Overtraining and overreaching: Causes, effects and prevention." (2000): 487-498.
- Matos, Nuno F., Richard J. Winsley, and Craig A. Williams. "Prevalence of nonfunctional overreaching/overtraining in young English athletes." Med Sci Sports Exerc 43.7 (2011): 1287-94.
- Parra, J., et al. "The distribution of rest periods affects performance and adaptations of energy metabolism induced by high‐intensity training in human muscle." Acta Physiologica Scandinavica 169.2 (2000): 157-165.
- Ratamess, Nicholas A., et al. "The effects of amino acid supplementation on muscular performance during resistance training overreaching." The Journal of Strength & Conditioning Research 17.2 (2003): 250-258.
- Volek, Jeff S., et al. "The effects of creatine supplementation on muscular performance and body composition responses to short-term resistance training overreaching." European journal of applied physiology 91.5-6 (2004): 628-637.