 |
| Should she drop the weight and add another set? Whether dropsets are superior to regular workouts is unfortu-nately a question the study at hand cannot answer. To learn more, you should read the information in the red box. |
What I really like about having a few thousand friends on Facebook is that
you point me to the few interesting studies I may not have read yet. One of these studies comes from Darren Candow who posted a link to an interesting "dropset +/- creatine in the elderly" study (Johannsmeyer. 2016) on the
ISSN Facebook page.
The study was published ahead of print a few days ago and deals with the "[e]ffect of creatine supplementation and drop-set resistance training in untrained aging adults" (Johannsmeyer. 2016). More specifically, the objective of the study was to investigate the effects of creatine supplementation and drop-set resistance training in untrained aging adults. What the study did
not do, unfortunately, is to compare drop-set to regular training... bummer.
Are you looking for muscle builders for the year 2016? Find inspiration in these articles:

Tri- or Multi-Set Training for Body Recomp.?

1, 2, or 5 sets per Exercise? What's "best"?

Pre-Exhaustion Exhausts Your Growth Potential

Will 2016 be the Year of the Kettlebell?

Full Squat for Size, Partial for Strength

Study Indicates Cut the Volume Make the Gains!
Unfortunately, the participants were randomized one of only two groups: Creatine (CR: n = 14, 7 females, 7 males; 58.0 ± 3.0 yrs, 0.1 g/kg/day of creatine + 0.1 g/kg/day of maltodextrin) or Placebo (PLA: n = 17, 7 females, 10 males; age: 57.6 ± 5.0 yrs, 0.2 g/kg/day of maltodextrin) during 12 weeks of drop-set resistance training (3 days/week; 2 sets of leg press, chest press, hack squat and lat pull-down exercises performed to muscle fatigue at 80% baseline 1- repetition maximum [1-RM] immediately followed by repetitions to muscle fatigue at 30% baseline 1- RM). A non-dropset control and non-dropset creatine group were missing, though.
Practically speaking, this means that
all subjects did the
same "Drop-Set Resistance Training Program" where every set was performed to muscle fatigue (defined as the inability to perform the
concentric phase of a muscle contraction; Candow et al., 2011), the scientists describe as follows:
 |
| Figure 1: Overview of the study design. |
"During the study, participants
exercised 3 days/week, on non-consecutive days, to reduce the risk of injury. Participants
performed 2 sets of drop-set resistance training for the leg press, chest press, hack squat and lat
pull-down exercises. Each set consisted of performing repetitions to muscle fatigue at 80%
baseline 1-RM immediately followed by repetitions to muscle fatigue at 30% baseline 1-RM" (Johannesmeyer. 2016).
What is a bit odd, is the fact that the
training load was not increased over the the 12 weeks of training and supplementation, as the purpose of the study was to overload the upper and lower body musculature by increasing the number of repetitions performed to muscle fatigue - not by increasing weights / loads.
"Dietary intake was recorded during the first and final week of supplementation and
resistance training to assess differences in total energy and macronutrient composition between
groups. Participants used a 3 day food booklet to record food intake for two weekdays and one weekend day. Participants were instructed to record all food items, including portion sizes
consumed for the three designated days" (Joannesmeyer. 2016).
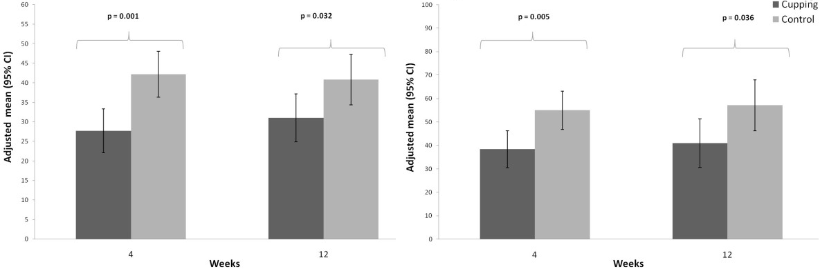
Next to body composition, strength and the training loads, the scientists also tested the levels of 3-methylhistidine (3-MH), an indicator of muscle protein breakdown which is (obviously) of particular importance for potentially catabolic elderly muscle.
 |
| Figure 2: Lean mass (kg) and protein breakdown (3MH) before and after the 12 week study (Johannesmeyer. 2016). |
That this protein catabolism was lower than the exercise-induced anabolism for both groups becomes obvious when you look at the
lean mass changes in
Figure 2.
 |
| Goto et al.'s 2004 study is the only one showing a sign. lean mass advantage when comparing regular strength training (5 x 90%1RM; 3 min rest) to the same training plus a single extra-set at only 50% 1RM that was performed 30 s after the last of the 90%1RM sets. What is important to remember is that this advantage existed only in the strength phase of the linear periodization cycle Goto et al. choose, yet not when the subjects did nine sets of exercises at 80-40% of their 1RM in the hypertrophy phase. |
What can other studies tell us about the efficacy of dropsets? Well, I've discussed this question only recently based on a study by Fisher et al. (2016) who were unable to confirm extra-gains in response to drop-sets in a much younger subject group. In contrast to the dropset protocol you are probably doing, the protocols in the Fisher study were however chosen "to allow parity between training load (the BD and CON groups both used the same relative load to begin; permitting 8–12 repetitions) and repetition volume (the HLBD and CON groups both performed a total of ~8 to 12 repetitions)" (Fisher. 2016). Thus the researchers eliminated the (probably) only relevant advantage of doing drop sets, i.e. a sign. increase in training volume, so that it is not really surprising that they didn't record sign. inter-group differences - after all, increasing the training volume was exactly what Sarah Johannsmeyer et al. had in mind when they combining heavy loads with light loads for their latest paper in
Experimental Gerontology.
This doesn't change the fact that there's only little evidence that drop sets work: Goto et al. (2003) who had initially observed a sign. increase in GH when they had their subjects to extra low-intensity sets (50% of 1RM) immediately after the performance of a high-intensity sets, for example, observed in a follow up study (Goto. 2004) that drop setting resulted in a significant increase in the muscle CSA as opposed to doing the standardized baseline strength training program, alone. In contrast to the
Fisher study, the training volume was not controlled for by Goto et al. (2004), though. Eventually it's thus not unlikely that it all came back to the benefits of an increased training volume - an advantage of which the Goto study also suggests that it exists only if the volume is rather low (strength phase vs. hypertrophy phase in the figure above).
A figure that also tells you that the "addition of creatine to drop-set resistance training significantly increased body mass (p = 0.002) and muscle mass (p = 0.007) compared to placebo" (Johannesmeyer. 2016).
 |
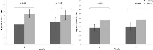
| Figure 3: Muscle strength (1-RM) for t (Johannesmeyer. 2016).t, chest press and lat pull down
exercise and endurance measurements (repetitions to volitional fatigue with 80% baseline 1-RM
for leg press and 70% baseline 1-RM for chest press) before and after 12 weeks of
supplementation and high-low resistance training (Johannesmeyer. 2016). |
That's in contrast to the data in
Figure 3, which indicates that the changes in muscle strength (1-RM) for the leg press, hack squat, chest press and lat pull down exercise and endurance measurements (repetitions to volitional fatigue with 80% baseline 1-RM for leg press and 70% baseline 1-RM for chest press) before and after 12 weeks of supplementation and high-low resistance training did not differ sign. when the scientists compared the placebo (PLA) to the creatine (CR) group.
 |
| Table 1: Total calorie (kcal/day) and macronutrient (g/day) content of the CR and PLA group for
3 days during the first and final week of supplementation and resistance training (Johannesmeyer. 2016). |
Whether the existing inter-group difference in total and lean mass gains, as well as the likewise significant sex-differences which indicate that males benefit more from creatine, strength-wise (lat pull-down only) than women have anything do do with the protein intake of the subjects (see
Tablel 1) is merely speculative. If you do the math, you will realize that both groups consumed almost the same
relative amount of protein with 1.28 g/kg in the creatine and 1.11 g/kg in the placebo group... thus, it seems very unlikely that the protein intake mattered.
 |
| Figure 4: Unfortunately, there's nothing you can learn about the efficacy of dropsets in 50-y+ agers from a study with only two experimental groups differing only by creatine supple-mentation (Johannsmeyer. 2016). For that we need the few existing studies that had these groups (see red box + discussion in the bottom line) |
One thing's missing... eventually, even two things, namely a non-dropset PLA and CRE group that would allow us to modify the scientists conclusion that "[t]he addition of creatine to drop-set resistance training augments the gains in muscle mass from resistance training alone" with reference to the individual effects of doing dropsets.
Accordingly, the study at hand shows that drop sets won't burn old muscle and confirm that creatine at a dosage of ~7-8g/day will sign. improve the lean mass gains of men and women in their late 50s. What it does not do, however, is to give us any clue whether the subjects would have gained less than the 3kg of lean mass if they hadn't done dropsets. Previous studies in younger people (
discussed in this SV Classic | Fisher. 2016) appear to refute that - if they don't contribute to sign. increases in training volume. If this increase occurs, as in the strength period of the Goto Study, however, things look good for dropsets |
Comment!
References:
- Bubbico, Aaron, and Len Kravitz. "Muscle hypertrophy: New insights and training recommendations." IDEA Fitness Journal 2326 (2011).
- Fisher, James P., Luke Carlson, and James Steele. "The Effects of Breakdown Set Resistance Training on Muscular Performance and Body Composition in Young Men and Women." The Journal of Strength & Conditioning Research 30.5 (2016): 1425-1432.
- Goto, K., K. Sato, and K. Takamatsu. "A single set of low intensity resistance exercise immediately following high intensity resistance exercise stimulates growth hormone secretion in men." Journal of sports medicine and physical fitness 43.2 (2003): 243.
- Goto, Kazushige, et al. "Muscular adaptations to combinations of high-and low-intensity resistance exercises." The Journal of Strength & Conditioning Research 18.4 (2004): 730-737.
- Johannsmeyer, Sarah, Candow, Darren G., Brahms, C. Markus, Michel, Deborah, Zello, Gordon A. "Effect of creatine supplementation and drop-set resistance training in untrained
aging adults." Experimental Gerontology (2016) - Published ahead of print on Aug 11 (doi: 10.1016/j.exger.2016.08.005).