Showing posts with label female weight loss. Show all posts
Showing posts with label female weight loss. Show all posts

Friday, April 14, 2017

'Bizzy Diet' Sheds 2% Body Fat (2kg) in Only 3 Weeks, Study in 51 Women (BF 25%) Shows - W/ and W/Out 'FitMiss Burn'

The "Bizzy Diet" works, the supplements that are suggested in the program at BB.com are useless, though.
You know that I am a fan of supplement companies that try to support the often hilarious claims on their product labels with science. Against that background, I feel there's nothing wrong with MusclePharm sponsoring, ah... I mean "funding" a recent study by researchers from the University of... ah, I mean, from Bodybuilding.com and the Ohio State University (Kendall 2017) - and that's not just in those (not exactly rare cases) when said research proves that their "thermogenic" powerhouse is actually a hilariously underdosed barrel burst.
Learn more about alleged and true fat burner at the SuppVersity

For Caffeine, Timing Matters! 45 Min or More?

DMAA (Jack3D) - The Good, the Bad & the Evil

How 'Harmless' are T2-Based Fat Burners, Really?

DMHA a Legitimate DMAA Successor

Fat Burners: Non-Stimulant, Non-Effective?

Caffeine Resis- tance - Does It Even Exist?
In the study at hand, the corresponding supplement is MusclePharm's FitMiss Burn "thermogenic fat burner" for women. A product that contains an undisclosed amount of Guarana Seed Extract (Paullinia Cupana), (22% Caffeine) Caffeine Anhydrous (100mg), Pyroglutamic Acid, Green Tea Extract (40% EGCG) (Camellia Sinensis)(Leaf), Papain, Yerba Mate (Llexparaguariensis)(Leaf), Yohimbine HCl, of which all have some scientific back-up as fat-burners alongside the other ingredients you can see in the graphical summary of the study results I created in Figure 1:
Figure 1: Graphical summary of the results; no sign. inter-group differences for Bizzy Diet (alone) vs. BD + FitMiss Burn.
In view of the fact that there's research backing almost all of the other ingredients, as well, it may seem surprising that the those of the fifty-one apparently healthy women between the ages of 18 and 35 years volunteered to participate in this randomized, double-blind, placebo-controlled study, who have been randomized to receive the product didn't see any benefit from their two capsules of FitMiss Burn, right?
Exercise characteristics in the three groups of young women during the 3-week study period (Kendall 2017)
Why did the control group see almost identical improvements in body composition? That's a good question. After all, the 14 women in the control group were "instructed to maintain their normal dietary habits" (Kendall 2017) and trained significantly less (see Figure on the left), ate more food and less protein over the course of the three-week study. Well, the explanation for this "phenomenon" lies within our naive trust in the accuracy of DXA scans and studies with small group sizes. With standard deviations that are two-times larger than the relative pre-/post-changes in body composition, we simply have to rely on the scientists' statistical analyses and those reveal that: (a) the diet groups lost sign. more body fat and (b) had a sign. different lean mass trajectory (lost or maintained vs. gained) compared to the control group... let's be honest, that's not a phenomenon.
Well, that's true, but if you scrutinize the label you'll realize that the total amount of active ingredients, i.e. 1,450 mg per serving (2 capsules per day) simply cannot contain caffeine, green tea, yerba mate, yohimbine, glucomannan, white kidney bean extract... to allow for all of them to have measurable effects. After all, the studies I previously alluded to used...
  • at least 200mg of caffeine (usually alongside other ingredients),
  • more than 500 mg green tea extract (e.g. Nagao 2007), and
  • the human equivalent of 7g of yerba mate (e.g. Arçari 2009)
which would already exceed the total weight of the proprietary ""Energy & Focus Complex" in the product... and we haven't even talked about the "Appetite Reduction & Fat Metaboliser" blend from which we'd need 2x1g per day of glucomannan (e.g. Salas-Salvadó 2008), 7.5-30g of guar gum (Pittler 2004), and much more of all other key ingredients.
Figure 2: Original grocery list for the "Bizzy Diet 21-Day Fitness Plan" (Bodybuilding.com | download PDF)
Well, now that it's clear that the supplement didn't work and couldn't work, let's take a closer look at the "Bizzy Diet" (you can learn more about the diet at bodybuilding.com): Basically, we're looking at a high calorie (1,000kcal/d) version of a low-carbohydrate protein-modified fast.

Over the course of the three-week study period the women had to cut their habitual food intake to 1,000kcal, cut out almost all carbs, eat every 3h (this is probably an irrelevant rule of the diet, but will certainly keep you "bizzy" ;-) and 'gorge' on eggs, bacon, tuna, broccoli and the other foods the meal plan on bodybuilding.com suggests - is it any wonder that the (almost overweight) ladies went from ~27% to ~25% DXA-assessed body fat on that diet? Not really.
Recent Revelations About Fat Loss: "Role of Muscle and CNS in Diet-Induced Decline of Exercise-Induced Energy Expenditure | Caffeine & Nicotine May Help!" | learn more
Why did you even discuss the study at hand? I know that some of you may now ask yourselves just that: Why? Well, the answer is simple: Firstly, I want you to scrutinize the labels of the supplements you buy and not be fooled by "proprietary blends" - in cases like the one at hand, it doesn't matter if the amount of the individual ingredients is undisclosed: even a first-grader will be able to see that they're underdosed if the label lists 20+ ingredients and the total weight of active ingredients is below 2000 mg (or less).

And secondly, I want you to understand how powerful dieting is: I mean, the 2% reduction in body fat the ladies in the study at hand achieved with their 1,000kcal protein- and nutrient-rich low-carbohydrate diet is worth reporting, isn't it?
References:
  • Arçari, Demétrius P., et al. "Antiobesity Effects of yerba maté Extract (Ilex paraguariensis) in High‐fat Diet–induced Obese Mice." Obesity 17.12 (2009): 2127-2133.
  • Kendall, Kristina L., et al. "A Randomized, Double-Blind, Placebo-Controlled Trial to Determine the Effectiveness and Safety of a Thermogenic Supplement in Addition to an Energy-Restricted Diet in Apparently Healthy Females" Journal Of Dietary Supplements (2017) - Ahead of print.
  • Nagao, Tomonori, Tadashi Hase, and Ichiro Tokimitsu. "A green tea extract high in catechins reduces body fat and cardiovascular risks in humans." Obesity 15.6 (2007): 1473-1483.
  • Pittler, Max H., and Edzard Ernst. "Dietary supplements for body-weight reduction: a systematic review." The American journal of clinical nutrition 79.4 (2004): 529-536.
  • Salas-Salvadó, Jordi, et al. "Effect of two doses of a mixture of soluble fibres on body weight and metabolic variables in overweight or obese patients: a randomised trial." British Journal of Nutrition 99.06 (2008): 1380-1387.

Wednesday, January 18, 2017

Dieting Down to ~10% Body Fat for Women: Contest Prep Study - Deficits, Muscles, Hormones and the Yo-Yo Effect

This would unquestionably be at the lower end of contest BF% levels (avg. 12%) the women in this study achieved,
The number of studies on fitness and bodybuilding competitions is limited. Probably you will remember my previous discussions of the paper/s by Rossow, et al. ("Natural bodybuilding competition preparation and recovery: a 12-month case study." | 2013) Kistler, et al. ("Case Study: Natural Bodybuilding Contest Preparation." International Journal of Sport Nutrition and Exercise Metabolism", 2014), and Robinson et al. ("A nutrition and conditioning intervention for natural bodybuilding contest preparation: case study" | 2015). And yes, three is not just the number of studies that I've covered at the SuppVersity, it's also the number of decently recent studies dabbling with dieting down for a contest in one of the "physique sports".
High protein helps, but do not counter the weight-loss-induced changes in RMR & appetite

Are You Protein Wheysting?

5x More Than the FDA Allows!

More Protein ≠ More Satiety

Protein Oxidation = Health Threat

Protein Timing DOES Matter!

More Protein = More Liver Fat?
Speaking of fitness, ... you probably already guessed it: There's study #4 by Juha J. Hulmi, et al. (2017). The study that was conducted by researchers from Finland and Estonia has the telling title "The Effects of Intensive Weight Reduction on Body Composition and Serum Hormones in Female Fitness Competitors" and was, as its authors point out, designed at least partly in response to the "worries about the potential negative consequences of popular fat loss regimens for aesthetic purposes in normal weight females have been surfacing in the media" (Hulmi. 2017).

Since longitudinal studies investigating these kinds of diets are lacking, Hulmi et al. studied the effects of a 4-month fat-loss diet in 50 (initially) normal weight females competing in fitness sports. This means we are dealing with a large-scale observational study, not an experimental study in which parameters such as the daily or weekly caloric deficit, the protein intake or related variables were set by the researchers. Rather than that, the 27 females (27.2 ± 4.1 years | 15 newbies, 12 women who had competed before) who dieted for ~4 months, and their 23 (27.7 ± 3.7 years) peers, who were acting as weight-stable controls, managed their diet and exercise regimen as they saw fit (note: with only 3 dropouts from the diet group and 6 from the control group the adherence was pretty good).
Figure 1: The experimental design of the study. Two representative participants are shown from each group. The pre to mid time period lasted ∼20 weeks during which the participants decreased their energy intake and the amount of exercise, whereas the controls maintained their activity levels and nutrient intake. The mid to post period lasting ∼18 weeks was a recovery period with increased energy intake back toward the baseline levels in the diet participants, whereas the controls maintained their energy intake and exercise levels (Hulmi. 2017).
You can take a glimpse both the design and the results in Figure 1. The subjects' body composition was assessed on separate test with the DEXA test being done on empty (that makes the test more reliable, because it's not going to be tricked by overstocked glycogen levels). The exercise performance tests, on the other hand, took place after the subjects' had a standardized breakfasts, because the dieters would otherwise have underperformed due to their low energy intake in the later phase of the dieting period - a period during which the subjects maintained not identical, but similar resistance training and cardio regimen (quoting from the FT | my emphasis):
  • Resistance training: Split routines were used for resistance training by all competitors in the diet group meaning that they focused on single muscle groups per session as is often the case also in bodybuilders (Hackett et al., 2013). The main muscle groups trained included thighs, hamstrings, buttocks, chest, shoulders, arms, upper and lower back, calves, and abdominals. Dividing training into separate body parts per session did not differ significantly throughout the training. At baseline the 3-, 4-, 5-, and 6-split training was used by 3, 10, 13, and 1 of the 27 participants, respectively, while the same numbers were during the diet on average 5, 8, 14, and 0 and during the recovery period 7, 8, 12, and 0. In addition, the competitors also practiced their posing routines. Training sessions lasted between 40 and 90min. 
  • Cardio: Aerobic training for the participants was almost uniquely either high-intensity interval training (HIT) with a bicycle, cross trainer or other gym equipment or both HIT and steady-state low to medium intensity aerobics (usually walking/running or with cross trainer). During the competition week the participants did not report doing HIT, but instead lower intensity aerobics. Typical HIT-exercise was 10–25 min in total including high intensity 15–45s intervals with 30–60s of recovery between the sets. Steady state lower intensity aerobics was typically 30–60 min in duration. Part of the females completed their aerobic training mainly together with their resistance exercise workouts while most of the participants completed also separate aerobic workouts, especially during the diet.
As the authors point out, there was a tapering period (learn more) during which total training load is typically slightly decreased and carbohydrate and total energy intakes are increased toward the baseline levels, in the last week of the contest prep.
Why would you taper before the competition? A competitor would probably answer that he, or, as in this case, she, did not "want to come in flat". Accordingly you taper, i.e. reduce the training intensity and (re-)introduce carbs into your diet to restore muscle glycogen and get rid of the "flat" look of which Hulmi et al. argue that it will "occur with low carbohydrate diets as ∼2.7g of water per each gram of glycogen is stored in skeletal muscle" (Hulmi. 2017).
Speaking of the subjects' energy deficit. The latter was - as it is currently in vogue - achieved almost solely by a drastic reduction in carbohydrate intake while keeping protein intakes high and fat intakes moderate. You can see the result in form of a diet that lacked, during contest prep/dieting, ca. 20% of the habitual energy intake of the subjects in my plot in Figure 2 reduced (see Figure 6 for data on the energy balance, i.e. calories in vs. calories out from exercise = cardio + weights).
Figure 2: Energy intake expressed as protein, carbohydrates and fats rel. to body weight (g/kg | Hulmi. 2017).
With these dietary changes and the increase in aerobic exercises aka "cardio", the subjects achieved body fat reductions of ~12% and a ∼35–50% decrease in fat mass (DXA, bioimpedance, skinfolds, P < 0.001) during the dieting phase.
Table 1: Tabular overview of the exercise levels in the diet and control groups; learn more about METs (Hulmi. 2017).
As you can see in Table 1, the latter, i.e. the aerobic workload did indeed increase significantly, while the subject's maintained their resistance training volume fairly stable [ 4.7 ± 0.7 (diet group) and 3.9 ± 1.9 (controls) METs] - until the tapering week, which may now give you the false impression that volume and/or intensity were reduced during the dieting phase:
  • lower body muscles were trained during the diet 1.4 ± 0.5 times per week, and 
  • upper body muscle groups were trained 1.1 ± 0.3 times per week, 
as part of the previously hinted at split design. That allowed for 4.9 ± 2.9 extra cardio sessions per week (that's an increase of +27% | P < 0.05) that came mostly from an increased amount of steady state aerobics "in several subjects" (I interpret this as "the majority increased the steady-state, only a few the HIIT volume). During the recovery period, the subjects' cardio frequency dropped down to 2.3 ± 1.9 times per week - both, cardio and resistance training were yet never skipped completely.
Figure 3: Changes in body composition; for fat and lean mass I used the average of all three measuring methods, i.e. DXA, body impedance and skinfold; * p < 0.05 and *** p < 0.001 (Hulmi. 2017)
The fact that the women kept training after the contest is important, when it comes to the interpretation of the actual study results, which include the following observations:
  • Figure 4: Changes in hormone levels; surprisingly, the cortisol levels (not shown) did not change - not even non-significantly at any time-point; *–*** is significant (p < 0.05–< 0.001) difference to Pre and #–### is significant (p < 0.05–< 0.001) difference between the groups in the change (Hulmi. 2017).
    a weight reduction of -12% of their initial weight and a loss of 35-50% body fat according to DXA, bioimpedance, and skinfold measurements -- the exact figures are -23.1 ± 5.6 to -12.7 ± 4.0% (DXA), from -19.7 ± 4.2 to -11.6 ± 3.9% (bioimpedance), and from -25.2 ± 3.0 to -18.3 ± 2.7% (skinfolds) -- in this context it may be worth mentioning that the women lost abdominal fat in particular, with the DXA scan indicating a -60% reduction in visceral fat 
  • a small decrease in lean mass (bioimpedance and skinfolds) and in vastus lateralis muscle cross-sectional area (ultrasound) were observed in diet (P < 0.05) -- in that, it is certainly interesting that the scientists found that some competitors even managed to gain lean mass during the contest prep
  • the total bone mass decreased by −1.3 ± 1.8% (DXA) in the competitors, 
  • the subject's leg strength, measured as the isometric maximal strength and explosive strength of their leg extensors remained unchanged during dieting, their bench press performance, on the other hand, declined,
  • a sign. changes in the hormonal system with decreased serum concentrations of leptin, triiodothyronine (T3), testosterone (P < 0.001), and estradiol (P < 0.01) coinciding with an increased incidence of menstrual irregularities (P < 0.05), 
  • the surprisingly small (and non-significant) changes in mood-related parameters of which only the subjects' vigor showed a significant decline during the pre-contest phase,
  • the normalization of all body weight/composition parameters and all hormones except T3 and testosterone which did not fully recover during the 3–4 month recovery period
Whether or not the small reduction of T3 is enough to produce what people refer to as "metabolic damage" is not clear. On the one hand, the small reduction in fT3 you can also see in Figure 5, would suggest that at least some of the subjects' (N=1...27) metabolisms were running slower than before.
Figure 5: Active thyroid hormone (fT3) concentration at baseline (pre), before the contest (mid) and after recovery (post). The number at the x-axis depicts participant numbers ordered based on the pre-value (Hulmi. 2017).
On the other hand, the subjects' body weight did not yo-yo back up to levels sign. above those they had before the contest, one may assume that this was not the case. After all, all women ate just as much as before the contest and did even less, not more cardio. This, in turn, translates into a 16% increase in their energy balance in the recovery (vs. baseline, see Figure 6) phase.
Now, the question is: What can we learn from this study? If you're looking for information about the "best contest prep diet" or the "ideal workout, volume or intensity for your contest prep training", you will be disappointed to hear that a study with a single dieting group that did not even intend to compare different approaches to contest prep cannot help you to answer these unquestionably important questions (note: since "best" is always individual, I'd say you cannot answer them with certainty, anyway).

Figure 6: It is important to note that the subjects' energy balance was 16% above baseline during the recovery phase when the difference between their energy intake and total ex. induced expenditure was 1471.82 kcal (vs. 1209.60 kcal at baseline). And still, they did not become fatter, but simply returned to their previous body fat levels; the figures beneath the bars indicate the daily energy balance calculated based on data from Hulmi et al by subtracting the exercise-induced energy-expenditure (cardio + weights) from the dietary intake(s).
What the study can tell us - and that's, when all is said and done, eventually even more important - are that (a) using a relatively large caloric deficit (-22.5% as calculated for Figure 6women can shed up to 50% body fat without losing sign. amounts of lean mass if they force their bodies to keep the muscle by strength training and fuel the protein synthesis that's responsible for conservation of muscle tissue with adequate protein intakes (previous studies on starvation diets show lean mass decreases of 6-28% | Keys. 1950; Dulloo. 1996); (b) the endocrine changes in form of reduced leptin, estradiol, testosterone and T3 levels, as well as the regularity of your menses will recover without medical intervention (albeit with a delay for fT3 and testosterone in some, but not all subjects); (c) there's no classic yo-yo effect which would imply a body fat super compensation during the recovery phase (otherwise the women would have ended up with more fat than before the competition), when the restoration of a pre-contest energy content and the concomitant decline of the subjects' exercise-induced energy expenditure in response to the reduced volume of 'cardio' (ca. 36%) | Comment!
References:
  • Dulloo, Abdul G., J. Jacquet, and Lucien Girardier. "Autoregulation of body composition during weight recovery in human: the Minnesota Experiment revisited." International journal of obesity and related metabolic disorders: journal of the International Association for the Study of Obesity 20.5 (1996): 393-405.
  • Hulmi, Juha J., et al. "The effects of intensive weight reduction on body composition and serum hormones in female fitness competitors." Frontiers in Physiology 7 (2017): 689.
  • Keys, Ancel, et al. "The biology of human starvation.(2 vols)." (1950).

Tuesday, September 27, 2016

Women Have a Hard(er) Time Losing Body Fat W/ Exercise 'cause it Increases Their Appetite More Than Men's, Right?

Is she going to binge after this body weight squat workout? Nah, don't worry...
I've repeatedly written about studies that show that the Taubs'ian notion that "exercise is useless because it just makes you hungry" is bullsh*t. It is indeed useless to work out to burn calories, it is yet never useless to work out - even if fat loss, not health or longevity is your goal.

What you should be aware of, though, is that there is a gender bias in the selecting of subjects in health sciences; and since the average subject in nutrition and exercise sciences is male and studies that have enough male and female subjects to identify relevant sex differences are rare, we don't really know if everything that has been "scientifically proven" can also be considered "scientifically proven" for female dieters and/or trainees.
Learn more about the (often ;-) small but significant difference at the SuppVersity

1g PRO per 2g CHO + Circuit T. for Women?

Is the Optimal Exercise Order Sex-Specific?

1-3mg Melatonin Shed Fat W/Out Diet & Exercise

Not Bulky! Lifting Will Make Toned & Strong.

How to Really Train Like a Woman

Sex-Differences in Fat Oxidation - Reviewed
The effects exercise will have on your appetite, for example, is such a research interest that has been investigated mainly in male subjects. As Alice E. Thackray, et al. (2016) point out in their latest paper in Nutrients, ...
"[...] opportunities to examine sex-based differences have been limited, but represent an interesting avenue of inquiry considering postulations that men experience greater weight loss after exercise interventions than women" (Thackray, 2016). 
In other words: While we don't know much, the few things we do know about the sex-specific interaction between exercise and your appetite are enough to draw a handful of practically highly relevant conclusions about optimal exercise and diet regimens for women.

Acute exercise, appetite, and compensation with energy intake - it's primarily individual

Before we delve deeper into sex-differences, though, I would like to remind you that the individual differences in fat and weight loss are not just better studied than those between men and women, they are probably also much more relevant than any sex difference - and that in spite of the fact that the research suggests that they are mediated by the same (individual) differences in compensatory behaviours that negate the exercise-induced energy deficit as the inter-individual differences.
Figure 1: The 2008 study by King et al. shows that (a) the individual differences in appetite are magnitudes larger than the actual effect of exercise and that (b) what the subjects make of it in terms of their effects on the subjects' actual energy intake cannot be predicted based on these subjective changes (King. 2008).
In their 2008 study, for example, King et al. found that the individual propensity to compensate for a reduction in energy intake and/or an increase in expenditure can explain weight loss differences that are larger than 50% - albeit with a standard deviation in the "compensators" that is significantly larger than the total weight loss.
SuppVersity Suggested Article: "Training "On Cycle", Done Right - Women See Much Better Results When Periodization is in Line W/ Menstrual Cycle" | read it
Did you know that women benefit from dieting and training in-sync with their menstrual cycle? I am pretty sure you know that as I've mentioned this before at the SuppVersity and even wrote a whole article about "Training on the Female Cycle"evidence  suggests that compared with untailored programs, synchronising diet and exercise training interventions around the hormonal changes that occur during the menstrual cycle elicits greater weight loss (Geiker, 2016) and improvements in muscle strength (learn more). Yet while we do know how cyclical fluctuations in sex hormones (estrogen and progesterone) alter appetite-regulatory hormone concentrations and energy intake in women (Buffenstein, 1995; Brennan, 2009), however, we don't know their interaction with exercise.
Similar discrepancies were found for the effect on subjective hunger, where the standard deviation of the subjects' hunger on a visual analog scale was ±9.6 mm and thus 240x larger than the average appetite increase of 0.4 mm/day. That's huge and it's quite a pity that the study didn't have enough subjects to conduct a meaningful analysis of the effect of the interactions of the subjects' sex on the increase in hunger the subjects experienced in King's 12-week study over the course of which the subjects trained five times a week without having to adhere to an energy restricted diet.

Men or women - that could still make an important difference

That this analysis could have yielded a significant difference between men and women, however, appears to be refuted by studies like Alajmi, et al. whose healthy male and female subjects had - within the previously described inter-individual differences - identical changes in the concentrations of the hunger-regulating acetylated form of ghrelin in response to 60 min treadmill running at 70% VO2peak (see Figure 2) - and that even though the men burned 57% more energy than the women.
Figure 2: Time-averaged total area under the curve (AUC) for appetite ratings (left); and plasma acylated ghrelin concentrations (right) in the control trial (□), and after 60 minutes on the treadmill at 70% VO2peak (■) in Alajmi's study.
In fact, the data in Figure 2 appears to confirm - for both men and women - the anorexic effect that is often ascribed to exercise. The study by Alajmi et al. is yet only one out of four partly contradictory studies that investigate the sex-based differences in the regulation of appetite in response to acute exercise:
  • Kawano, et al. (2012) - The first acute exercise and appetite study that compared men and women was published in Obesity Research & Clinical Practice. The authors reported that 20 min of rope skipping exercise increased ratings of subjective hunger 30 min after exercise in women but not men - quite a surprising result, also because high(er) intensity exercise as rope skipping has been shown to be particularly appetite suppressive in the average (=male) study subject; furthermore, Thackray et al. rightly criticize that the authors did not "control for the potential confounding effects of the menstrual cycle, which represents an important consideration for acute exercise studies comparing men and women" (Thackray. 2016). In this regard, recent studies have given us a few interesting insights (see light blue box). However, whether appetite responses to exercise in women are influenced by the menstrual cycle phase is not known and "represents", as Thackray et al. write "a research avenue to consider in the future".
  • Hagobian, et al. (2012) - Scientists from the California Polytechnic State University tested the effects on both appetite and energy intake in 11 men and 10 women exercised for 60 min on a cycle ergometer at 70% VO2peak until 30% of total daily energy expenditure was expended (men, expenditure = 975 ± 195 kcal in 82 ± 13 min; women, expenditure = 713 ± 86 kcal in 84 ± 17 min) in a counterbalanced, crossover study.
    Figure 2: Energy intake (see captions) and macronutrient composition (graph shows %-ages, the figures indicate the actual intake in g) of the post-workout ad-libitum meal (Hagobian, 2012).
    In line with Alajmi et al. (2012) and in contrast to Kawano et al. (2012), Hagobian et al. (2012) found a sign. reduction in energy intake (P < 0.05) after exercise compared with rest in men (672 ± 827, 1133 ± 619 kcal, respectively) and women (−121 ± 243, 530 ± 233 kcal, respectively). A result the scientists interpret as evidence of the previously cited "effectiveness of acute exercise to suppress relative energy intake regardless of sex" (Hagobian, 2012).
  • Bailey, et al (2015) - While the previous studies tested relative intense steady state exercises, a 2015 study from the University of Bedfordshire focused on a very different type of exercise. In fact, the 'exercise intervention' consisting of walking a total of 28 min in form of 2 min bouts every 20 minutes was designed to investigate the effect of daily physical activity on appetite and energy intake in 6 male and 7 female inactive, but otherwise healthy subjects, whose appetite and appetite-regulatory hormones were not affected by the exercise intervention.
You probably already suspect it: intensity is a key regulator of the effects of exercise on subjective appetite, but since I've addressed that before while discussing the sex-differences only superficially, I want to refer you to my previous article and focus on the influence of sex of which separate studies in men and women, respectively appear to suggest that...
  • 24h energy intake is unchanged in both, men and women in the few studies that investigated this important parameter in male and female subjects in isolation
  • acute energy intake (post exercise) mostly remains the same, often decreases and rarely increases in men and women when studied in isolation
  • exercise intensity, that's what evidence suggests modulates the effects on energy intake for both, men and women; in that, low-intensity exercise such as walking appears to be more prone to increase energy intake than high(er) intensity exercise such as jogging or sprinting
  • dietary overcompensation, i.e. an extra energy intake that provided more energy than the subjects had burned during their workouts, does not occur in either men nor women
  • individuality reduce the validity of the results; as previously pointed out, the appetite response to exercise appears to be highly individual and whether that's due to genetics and/or baseline diet (e.g. low carb vs. low fat, etc.) will have to elucidated in the future 
The one thing that's still left to discuss is the chronic effect of exercise on appetite, hunger, the respective hormones and - most importantly - men's and women's energy intakes.

The effects of chronic exercise

Unfortunately, studies that compared the effects of chronic exercise on appetite and food intake of men and women directly, don't exist. What we do have, though, are studies on both men and women (not adequately powered for comparisons), as well as studies that investigate men and women in isolation. These studies suggest that...
  • complex interactions w/ weight loss in both men and women - If weight loss occurs in response to chronic exercise, that's, according to King, et al. (2009), because overweight individuals (men and women) balance any potentially existing increased drive to eat due to the extra energy expenditure with a concomitant increase in the satiety response to a meal (increased insulin sensitivity, decreased acetylated ghrelin, decreased leptin | Martins. 2010 & 2013).

    Similarly, Thackray et al. conclude in their previously cited review that this interactive effect between exercise, weight loss and appetite / energy intake also explain the complex alterations in appetite-regulatory hormones, of which they even go so far as to say that they "arise as a secondary consequence to changes in body mass" (Thackray, 2016)
  • overall, women are more susceptible to changes in energy balance - In the long-term, it becomes more apparent that women react more sensitive to changes in their energy balance. Comparing studies in men and women (direct comparisons don't exist) suggest that this is why women are more susceptible to perturbations in appetite-regulatory hormones and energy intake.
  • exercise is less likely to trigger dietary compensation than energy restriction - In contrast to the initially referenced statement of Gary Taubes, it's dieting that makes you hungry, not exercise in both men (King, 2011) and women (Alajmi, 2016). "Dietary restriction," Thackray et al. explain may simply "represent a greater challenge to appetite regulation and energy balance than exercise".

    Figure 3: The energy intake between men and women differed in a 12-week aerobic exercise training intervention in overweight and obese men (n = 35) and women (n = 72), but the effect on the objectively measured (quantified using laboratory-based test meal days) did not differ between the male and female subjects (Caudwell, 2013)..
    And since we know that women react more sensitive to changes in said energy balance, it is not exactly surprising that individual two separate studies by Stubbs et al. (2002a,b) show that only women will compensate ~33% of the extra energy they expended during seven days of daily moderate- or high-intensity exercise (Stubbs, 2002a), while men didn't change their energy intake, at all (Stubbs, 2002b) - at least if we trust their food logs and the subjects' own scales, because that's what Stubbs et al. used as their data source.

    That's a problem, because - as usual - other studies suggest an increased compensation in men or, just as one of the few tightly controlled studies in this field no sex- but sign. indiv. differences (Caudwell, 2013). 
Eventually, the jury is thus still out. While anecdotal evidence suggests and evolutionary considerations, i.e. "that women have evolved to store body fat to preserve energy balance and reproductive function" (Thackray, 2016), could even explain an increased energy expenditure in women, the hard evidence we'd need for a definitive conclusion is simply not there.
Not Exercise, But Dieting Makes You Hungry: Beneficial or No Effects on Appetite of Exercise in Lean & Obese. (Ab-) using Exercise to Make Up For Messy Diets Still a Bad Idea! More...
Don't complain, ladies. Use your energy in the gym! As Thackray et al. point out, most of the more recent experimental work "question[s] the prevailing view that exercise is less effective for inducing weight loss in women, with several studies showing equivalent effects of exercise training on body composition in both sexes when the exercise-induced energy expenditure is matched" (Thackray, 2016) - the latter is obviously rarely the case, after all, women have a lower body weight and a lower lean body mass. So even if they trained at the same intensity as men (which a comparison of the average male to the average female gym-goer suggests they don't), they still wouldn't burn as much energy...

Rather than to complain about how unfair life is when it comes to exercise and fat loss, women should use their energy in the gym and focus on the new research on how training and eating according to their menstrual cycle could augment both, their exercise-induced fat loss and the actually desired changes in body composition | Comment on Facebook!
References:
  • Bailey, Daniel P., et al. "Breaking up prolonged sitting time with walking does not affect appetite or gut hormone concentrations but does induce an energy deficit and suppresses postprandial glycaemia in sedentary adults." Applied Physiology, Nutrition, and Metabolism 41.3 (2015): 324-331.
  • Brennan, Ixchel M., et al. "Effects of the phases of the menstrual cycle on gastric emptying, glycemia, plasma GLP-1 and insulin, and energy intake in healthy lean women." American Journal of Physiology-Gastrointestinal and Liver Physiology 297.3 (2009): G602-G610.
  • Buffenstein, Rochelle, et al. "Food intake and the menstrual cycle: a retrospective analysis, with implications for appetite research." Physiology & behavior 58.6 (1995): 1067-1077.
  • Caudwell, Phillipa, et al. "No sex difference in body fat in response to supervised and measured exercise." Medicine & Science in Sports & Exercise 45.2 (2013): 351-358.
  • Geiker, Nina RW, et al. "A weight-loss program adapted to the menstrual cycle increases weight loss in healthy, overweight, premenopausal women: a 6-mo randomized controlled trial." The American journal of clinical nutrition (2016): ajcn126565.
  • Hagobian, Todd Alan, et al. "Effects of acute exercise on appetite hormones and ad libitum energy intake in men and women." Applied Physiology, Nutrition, and Metabolism 38.999 (2012): 66-72.
  • Kawano, Hiroshi, et al. "Appetite after rope skipping may differ between males and females." Obesity research & clinical practice 6.2 (2012): e121-e127.
  • King, Neil A., et al. "Individual variability following 12 weeks of supervised exercise: identification and characterization of compensation for exercise-induced weight loss." International Journal of Obesity 32.1 (2008): 177-184.
  • King, Neil A., et al. "Dual-process action of exercise on appetite control: increase in orexigenic drive but improvement in meal-induced satiety." The American journal of clinical nutrition 90.4 (2009): 921-927.
  • King, James A., et al. "Differential acylated ghrelin, peptide YY3–36, appetite, and food intake responses to equivalent energy deficits created by exercise and food restriction." The Journal of Clinical Endocrinology & Metabolism 96.4 (2011): 1114-1121.
  • Martins, Cecilia, et al. "The effects of exercise-induced weight loss on appetite-related peptides and motivation to eat." The Journal of Clinical Endocrinology & Metabolism 95.4 (2010): 1609-1616.
  • Martins, Catia, et al. "Effect of chronic exercise on appetite control in overweight and obese individuals." Medicine and science in sports and exercise 45.5 (2013): 805-812.
  • Stubbs, R. James, et al. "The effect of graded levels of exercise on energy intake and balance in free-living men, consuming their normal diet." European journal of clinical nutrition 56 (2002a): 129-140.
  • Stubbs, R. James, et al. "The effect of graded levels of exercise on energy intake and balance in free-living men, consuming their normal diet." European journal of clinical nutrition 56 (2002b): 129-140.

Thursday, July 30, 2015

Energy Balance and Everyday Activity Explain Weight Loss Success / Failure W/ Exercise in Men, But Not in Women

Bicycling to work is one of these "small things" that may make the difference between lean and obese.
I know this is not what your friends will want to hear, but for 99.9% of them it's not their genes which are to blame for their inability to lose weight. It's much simpler than that: It's their inability or unwillingness to induce a large enough caloric deficit to force their bodies to tap into the fat stores. Don't get me wrong: It's obvious that genes, with their direct and indirect influence on one's basal energy requirements (think of being tall vs. being small, if nothing else), amount of muscle, and even ability to handle glucose and fats, will factor in here. In the end, however, it's everyone's knowledge about the dos and don'ts of dieting, effort and dietary adherence that will make the difference.

That's no news for you? I think the results of a recent study from the University of Kansas Medical Center and the Texas Tech University will still come as a surprise. Usually, we talk about cheating on one's diet, skipping scheduled workouts and eating foods people are not supposed to eat, when we discuss the reasons why people fail. The results of said study, however, suggest that something else may have a much larger impact: Our regular non-exercise physical activity.
No "metabolic damage" here, but here are posts that relate do increased / decreased REE

Orgasm Hormone Increases REE

9 Tricks to Keep You REE Up

High EAA Intake, High REE

You're not a Bomb Calorimeter

Calorie Shifting for Max. Fat Loss

Met. Damage in Big Losers?
If you've read my March 2015 article "It Doesn't Have to be an Exhaustive Workout - Increasing Physical Activity Just as Effective as Strength, Endurance or Combined Exercise to Lose Fat and Build Muscle" (read it now), you will know about the importance of "taking the stairs", standing instead of seating, bicycling to work and other often overlooked low-intensity non-exercise physical activity in our everyday lives. Interestingly enough, it is just this type of low intensity 'non-exercise' of which the so-called "Midwest Exercise Trial 2" indicates that it is what distinguishes the weight loss responders (>5% weight loss) from the non-responders (<5% weight loss) in a relatively tightly controlled "work out five times per week for 10 months to lose weight"-intervention by Herrmann et al. (2015).

Before we are dealing with this surprising result, though, let's first take a look at what exactly the N=141 18-30 year-old men overweight/obesity (BMI 25-40 kg/m²) subjects had to do in this 'exercise for weight loss study' (details can be found in the description the scientists published when they registered their clinical trial | Donelly. 2012):
  • Table 1: It is important to note that there were no sign. baseline differences in weight, age, etc. between responders and non-responders among the study participants (Herrmann. 2015).
    the subjects exercised on 5 days of the week - one of the session was "choose the activity you want", the other sessions were performed under supervision walking/jogging on treadmill
  • the duration / intensity of all workouts was matched to initially burn 150 kcal; from months for on, 400 and 600 kcal/session (this is in line with the "2008 Physical Activity Guidelines for Americans" | USDA. 2008) 

I see you're looking for the dietary advise? Well, there was none. That may look awkward, but in view of the fact that the scientists wanted to see whether the simple adherence to the USDA "Physical Activity Guidelines for Americans" would make a difference, the subjects were told to stay on their regular (junk food?) diets.
A friendly reminder for the trainers out there: While it may be enough to increase your clients activity level, long-term weight loss can be facilitated only if you attack all weight- and health-relevant aspects of a clients life-style. That's (I) exercise and everyday activity, (II) diet and (III) sleep (circadian rhythm), stress and related aspects of their lifestyle.
As the name of the study or rather the index "2" in the name implies, the "Midwest Exercise Trial 2" is a follow up study. It's a follow up that was supposed to elucidate (a) what distinguishes responders from non-responders and whether (b) the gender differences in weight response Donelly et al. observed in their 2003 predecessor study were coincidental or something we have to keep in mind, whenever we are designing exercise-based weight loss routines for men and women..
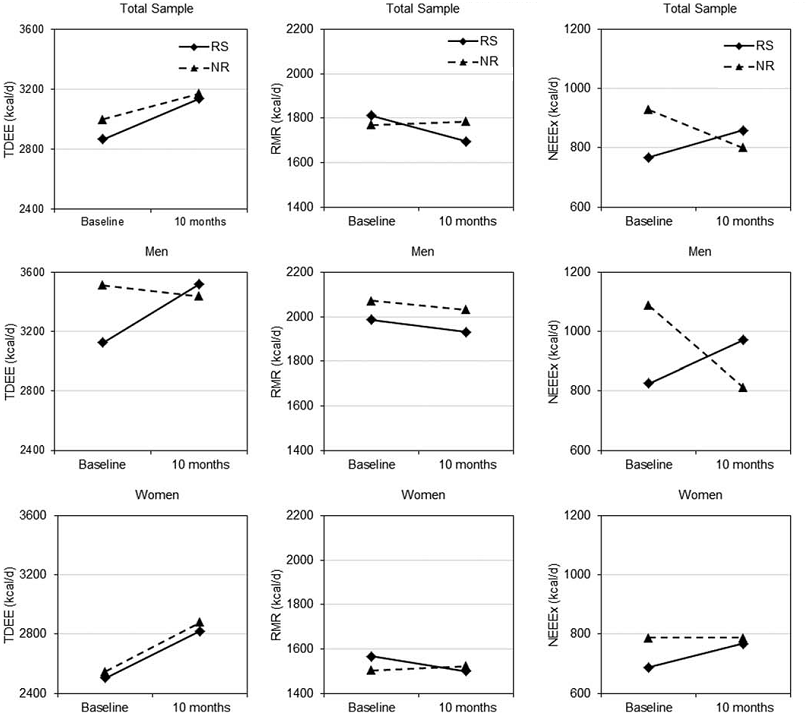
Figure 1: Total daily energy expenditure (TDEE), nonexercise energy expenditure (NEEx), and resting metabolic rate (RMR) at baseline and 10 months in responders (RS) and nonresponders (NR) to an aerobic exercise intervention.
What should I say? If you look at the data it would almost seem as if (2) was the case: Men and women appear to respond very differently to this kind of exercise-based weight loss efforts. Yes, the data in Figure 1 shows that there is a trend for non-responders from both sexes to be less active in their free time and thus having a lower non-exercise induced energy expenditure (NEEEx). On the other hand, though, ...
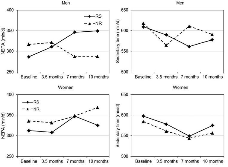
  1. Figure 2: Nonexercise physical activity (NEPA) and sedentary time across 10 months in responders (RS) and nonresponders (NR) to an aerobic exercise intervention (Herrmann. 2015).
    only the male non-responders are truly characterized by their tendency to take the five weekly workouts as an excuse to use the elevator and drive the 200m to the next fast-food outlet by car, while 
  2. there is no such compensatory effect on NEEEx in the women and even an increase in resting metabolic rate (so no metabolic damage or shut-down) in the female non-responders
This trend for a "compensatory effect" on non-exercise physical activity (NEPA) in male and its absence is in female non-responders becomes even more obvious in Figure 2.
Figure 3: Rel. energy balance in male and female weight loss responders and non-responders in month 10 - data calculated as (total intake / total expenditure - 1)*100 based on data from Herrmann et al. (2015).
If we go back to my initial comment on caloric deficits and do the math that's required to calculate the relative difference between the total reported energy intake and the estimated energy expenditure, we get an excellent explanation for the fact that the male "non-responders" don't lose weight: They simply weren't in caloric deficit (see Figure 3); and that - and this is actually the most interesting finding - not because they ate more (the reported energy intake didn't change much), but because they moved less in their everyday lives!
I don't want to point with a finger to the non-responders, but energy intake underreporting is an issue you cannot ignore with overweight young(er) women (data from Smith. 1994).
So, what to we do with the women? Is there something that makes women resistant to exercise induced weight loss? I am not sure if it is politically to discuss this, but previous studies actually confirm the obvious: Women tend to lie about their food intake, more frequently than men. Particularly in overweight women underreporting (consciously or not - I don't care) is highly prevalent (Klesges. 1995; Smith. 1994). Especially the highly obesogenic snacks people and caloric beverages tend to "inhale" in-between their meals are often "forgotten" (Poppitt. 1998). Next to an overall tendency to underreport their overall energy intake, obese individuals have also been found more likely to overreport their protein intake and "forget" about fats and sugars, in particular (Heitmann. 1995), ... but let's focus on this study.

With the estimated number of calories that are "forgotten" being estimated around ~17% in all women (sign. higher in obese women), the sex difference may have a methodological, not a physical cause. The only problem here is that all women were overweight or obese. We do thus have to assume that the "responders" were underreporting their food intake, as well. So, if the female non-responders don't compensate on either the physical activity or the diet-side of things and the increasing resting energy expenditures of the non-responders (which would by the way still indicate they ate more than they said) excludes that they had a tough time due to being genetically disadvantaged by "having a slow metabolism" or "a thrifty phenotype", further research is necessary to elucidate what exactly it is that makes some women fail, where others succeed.

Luckily we don't need the answer to this question to state at least one very important conclusion: Diet interventions that are targeted towards exercise induced increases in energy expenditure are better suited for men - in particular for those men who are willing to actually increase their overall activity level, instead of compensating for the time they spend working out in the gym, on the track or wherever else by increasing their "couch time" | Comment on Facebook!
References:
  • Donnelly, Joseph E., et al. "Effects of a 16-month randomized controlled exercise trial on body weight and composition in young, overweight men and women: the Midwest Exercise Trial." Archives of Internal Medicine 163.11 (2003): 1343-1350.
  • Donnelly, Joseph E., et al. "A randomized, controlled, supervised, exercise trial in young overweight men and women: the Midwest Exercise Trial II (MET2)." Contemporary clinical trials 33.4 (2012): 804-810.
  • Herrmann, Stephen D., et al. "Energy intake, nonexercise physical activity, and weight loss in responders and nonresponders: The Midwest Exercise Trial 2." Obesity 23.8 (2015): 1539-1549.
  • Klesges, Robert C., Linda H. Eck, and JoAnne W. Ray. "Who underreports dietary intake in a dietary recall? Evidence from the Second National Health and Nutrition Examination Survey." Journal of consulting and clinical psychology 63.3 (1995): 438.
  • USDA, Physical Activity Guidelines Advisory Committee. "Physical activity guidelines for Americans." Washington, DC: US Department of Health and Human Services (2008): 15-34.
  • Poppitt, S. D., et al. "Assessment of selective under-reporting of food intake by both obese and non-obese women in a metabolic facility." International journal of obesity and related metabolic disorders: journal of the International Association for the Study of Obesity 22.4 (1998): 303-311.
  • Smith, Wayne T., Karen L. Webb, and Peter F. Heywood. "The implications of underreporting in dietary studies." Australian journal of public health 18.3 (1994): 311-314.