 |
| No, that's not a photo from the study. |
This is not the first
SuppVersity article to discuss the
satiating effect of dietary protein, but it's the only one addressing the notion that a lower whey-to-casein ratio in a high-protein milk beverage would go hand in hand with an increased satiety effect.
Why should it? Well, as Amelinda et al. (2016) point out, "whey and casein protein have different digestion rates" it is thus only logical to assume that combining them may result in a prolonged satiating effect.
High-protein diets are much safer than pseudo-experts say, but there are things to consider...

Practical Protein Oxidation 101

5x More Than the FDA Allows!

More Protein ≠ More Satiety

Protein Oxidation = Health Threat

Protein Timing DOES Matter!

More Protein = More Liver Fat?
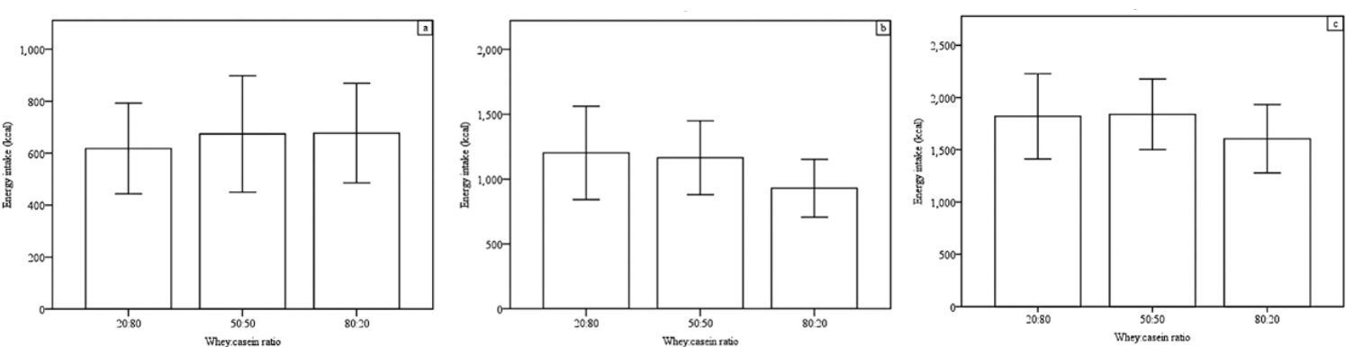
To test this hypothesis, the Indonesian researchers conducted a randomized, single-blind, cross-over study with 12 healthy, normal-weight men who received a standardized breakfast (tuna sandwich, which consisted of white bread and tuna sandwich spread, prepared to fulfill 20% of the individual DER with 16% of the energy coming from protein, 22% from fat and 62% from carbohydrate) followed by one of the three preloads in form of a milk beverage (140kcal) containing 15 g protein with whey-to-casein protein ratios of 20:80, 50:50, or 80:20.
 |
| Table 1: Energy and macronutrient content of the test beverages (Amelinda. 2016). |
To assess the differential effects of the high vs. low whey / casein protein shake, the researchers assessed the subjective appetite ratings on a visual analog scale. What's more important, though, is that the scientists also measured the consecutive energy intake during (a) an ad-libitum lunch (spaghetti, fresh mushroom Italian sauce, corn oil, cheddar cheese, sugar, salt and pepper; prepared based on a standardized recipe and was mixed homogeneously by the same person for each test day the lunch provided 150 kcal / 100g with 13, 22 and 65% of the total energy provided by protein,
fat and carbohydrate, respectively) and (b) by the means of dietary recalls of food and drinks consumed during the remainder of the experimental day.
 |
| Figure 1: Mean subsequent energy intake during: (a) Lunch; (b) Remainder of the day; (c) Total energy intake. Error bars show 95% confdence interval (Amelinda. 2016). |
In contrast to the authors' research hypothesis, their study showed that "there was no significant effect of the whey to casein protein ratio in milk beverages on the appetite ratings and subsequent energy intake" (Amelinda. 2016). If you take into account previous studies on the satiety benefits of high(er) protein intakes, too, the logical conclusion is that "[a] high protein content, as opposed to the type of protein, may be of greater importance in determining the satiating properties of protein and should be taken into account when developing weight loss products" (Amelinda. 2016).
 |
| Casein & whey - Many companies sell both. For a good reason! What's that reason? Well in combination they will do both, trigger and sustain maximal protein synthesis | learn more. |
It may still make sense to choose specific whey-to-casein ratios: their effects on muscle protein synthesis. As
previously discussed, it doesn't just make perfect sense to prolong the period of hyperaminoacidemia, i.e. the elevation of essential and non-essential amino acids in your blood, by adding some slow-digesting casein to your beloved post-workout whey shake, it has also been confirmed in a long-term study that this practice will actually produce a significant increase in lean mass gains in thirty-six resistance-trained males.
Ahh... and based on N=1 personal experience, I would like to add that real high protein foods are usually significantly more satiating than protein shakes |
Comment on Facebook!
References:
- Angela, Amelinda, et al. "Effect of Whey-to-Casein Protein Ratio in Chocolate-Vanilla Milk Beverage on Satiation and Acute Energy Intake." Kasetsart J. (Nat. Sci.) 49 (2016): 738 - 746