![]() |
| Matcha releases more antioxidants than tea leaves (Fujioka. 2016). |
As Yuan Fen et al. explain in their latest meta-analysis of the effects of green tea on blood lipids, tea can be classified as green tea, oolong tea or black tea depending on the manufacturing process" (Fen 2017). What exactly it is that mediates the various health benefits of tea (inflammation, hypertension/heart disease, and cancer | Serafini 2011) and their potency may thus differ slightly from tea to tea.
Learn more about the effects of your diet on your health at the SuppVersity
- Green tea improves your blood lipids like a statin, but without the side-effect-prone mechanism of blocking cholesterol completely (Fen 2017) -- The effects of green tea consumption on lipid metabolism in people with overweight or obesity was the research interest of the previously cited study by Fen et al. in "Molecular Nutrition & Food Research". Based on 21 published RCTs, the scientists calculated that ...
That sounds great, but the absolute change in LDL is small in comparison to the average statin, which achieves reductions of 69.6 mg/dl (Law 2003).
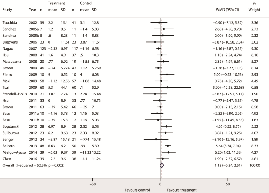
"[...] green tea significantly decreased plasma total cholesterol (TC) and low-density lipoprotein cholesterol (LDL) levels in overweight or obese people[, in form of a] 3.38mg/dl [reduction] for TC (95% CI: -6.42, -0.33mg/dl) and -5.29mg/dl [reduction] for LDL (95% CI: -7.92, -2.66mg/dl), respectively" (Fen 2017).
Figure 1: No clear effect on HDL was observed (Fen 2017).
Warning! EGCG may mess with the efficacy of your statins (and other medications): It's important to note, that EGCG acutely reduces the pharmacokinetics of statins. This has been proven only recently (Kim 2017) for rosuvastatin in healthy volunteers, whose systemic exposure to the drug was reduced by a whopping 19% when EGCG and rosuvastatin were co-administered only once. Interestingly enough, though, two weeks of chronic EGCG supplementation abolished this inhibitory effect. Green tea does that by interacting with a range of intestinal and hepatic organic anion transport peptides (OATPs) and we're yet far from understanding all its drug interactions. Proven have been the previously mentioned interaction with rosuvastatin, as well as interactions with the blood pressure medication (beta blocker) nadolol, and another statin, namely simvastatin, where it had, paradoxically, opposing effects and increased the plasma concentration by inhibiting both, intestinal CYP3A4 and P-gp and hepatic OATP1B1 (Werba 2015).
And there's more. In rodents on high cholesterol diets, scientists from the Hebrew University in Jerusalem have recently been able to demonstrate that the effect of green tea polyphenols on bile acid will overload your livers ability to get rid of cholesterol and thus promote non-alcoholic fatty liver disease (Tirosh 2017) - a phenomenon that has already been observed in human beings, too.
And there's more. In rodents on high cholesterol diets, scientists from the Hebrew University in Jerusalem have recently been able to demonstrate that the effect of green tea polyphenols on bile acid will overload your livers ability to get rid of cholesterol and thus promote non-alcoholic fatty liver disease (Tirosh 2017) - a phenomenon that has already been observed in human beings, too.
- Accordingly, people who actually need statin drugs because they have a genetically high risk of heart disease would be ill advised to try and replace their medications with green tea - not just, but also because "green tea's effect on plasma TG and HDL must be further evaluated by additional high-quality and large-scale RCTs" (Fen 2017) - also to answer, among others, the following question.
- the differential effects of caffeinated and decaffeinated green tea on triglycerides (↕ for regular ↘ for decaffeinated green tea)
- differences in health effects in healthy overweight or obese individuals vs. unhealthy overweight or obese individuals (in whom the scientists' subgroup analyses, for example, showed sign. reductions in triglycerides that were not observed in healthy subjects)
- age-effects that couldn't be analyzed in the current meta-analysis of studies in which people from all age groups (from children to the elderly) participated
- the seriousness and root cause of side effects, which were transient, but were still reported in four of the twenty-one trials
600mg/day Anything Beyond That and EGCG May Mess W/ Your Liver Health! Scientists Propose 300mg/day Limit for EGCS in Food Supplements (read the SuppVersity Facebook News Post from July 2nd, 2017). While evidence that the real deal, i.e. green tea can damage your liver, things look different for supplements with isolated catechins, esp. EGCG.
Dekant et al. recently reviewed the existing literature and came to the conclusion that EGCG has the potential to induce hepatic damage. Based on the finding that "[i]n clinical intervention studies, liver effects were not observed after intakes below 600mg EGCG/person/day," the researchers propose a "tolerable upper intake level of 300mg EGCG/person/day" which would give you "a twofold safety margin" (Dekant 2017).
Dekant et al. recently reviewed the existing literature and came to the conclusion that EGCG has the potential to induce hepatic damage. Based on the finding that "[i]n clinical intervention studies, liver effects were not observed after intakes below 600mg EGCG/person/day," the researchers propose a "tolerable upper intake level of 300mg EGCG/person/day" which would give you "a twofold safety margin" (Dekant 2017).
- New study questions previously reported beneficial effects of green tea on post-exercise glycogen resynthesis, but... (Tsai 2017) -- You will remember my article from last October in which I outlined that "Green Tea Extract Reduces the Amount of Insulin You Need to Store Your PWO Carbs by ~20%" (read it). A recent study in the British Journal of Nutrition does now suggest that these effects may at least be dose-dependent.
Unlike the previously cited study by Martin et al. (2016) used 3x350mg of green tea extract (GTE) for one week, Tsai et al. administered a significantly lower dose of GTE (500 mg/d) for 8 weeks. Furthermore, the scientists used a low-intensity workout and a carbohydrate-enriched meal, instead of a graded exercise and 75g of pure glucose as post-workout (PWO) nutrition. - Even on a normal diet, green tea prevents visceral adiposity (Raso 2017) -- While we do have dozens of studies showing that green tea alleviates the (visceral) body fat accumulation in response to unhealthy, hypercaloric diets, the latest rodent study by Raso et al. is the first study to investigated the effects of administering green tea as the main source of hydration on visceral fat accumulation in the long run - in human terms 45 years!
![]() |
| Table 1: Research overview (Oz 2017 | free full text) |
- Anthrax? Green tea can kill Bacillus anthracis the etiologic agent of the infamous infective disease anthrax that has been used to threaten people and governments by terrorists before (Falcinelli 2017) -- 10 days, that's the time that you have left on earth if you're infected with anthrax spores, spores that can infect you if you touch infected meat or breath in anthrax spores. The corresponding ease of infection is one the reasons that politicians and researchers fear the possible future use of B. anthracis as a bioterrorism agent.
As you probably already expected, it's epigallocatechin-3-gallate (EGCG) that was shown to be responsible for this activity. Yet even though EGCG was clearly bactericidal against both the attenuated B. anthracis ANR and the virulent, encapsulated strain B. anthracis Ames strain, future studies will have to show if and how green tea and EGCG can be used in human beings to prevent or battle anthrax infections... which reminds me to remind you, that GTE has also been shown to be a useful natural disinfectant able to limit enteric viral contaminations conveyed by food and food-contact surface (Randazzo 2017).
Can green tea "fix" Alzheimer's? Latest review of the efficacy of Epigallocatechin-3-gallate (EGCG from green tea) in the treatment of Alzheimer’s disease says that even though "in recent years, natural compounds, due their antioxidants and anti-inflammatory properties have been largely studied and identified as promising agents for the prevention and treatment of neurodegenerative diseases, including AD," the authors highlight that the "promising results" come exclusively from "pre-clinical" studies, so that "drawn clinical trials are extremely needed" (Cascella 2017) before we can tell how useful EGCG is whether it has preventive effects, only or can also be used to ameliorate if not curative Alzheimer's when someone is already experiencing symptoms.
- Part of the heart health benefits of green tea are not about EGCG and green tea extracts don't help with blood flow either, while real tea does (Lorenz 2017) -- In a randomized crossover study, a single dose of 200 mg EGCG was applied in three different formulas (as green tea beverage, green tea extract (GTE), and isolated EGCG) to 50 healthy men. Flow-mediated dilation (FMD) and endothelial-independent nitro-mediated dilation (NMD) was measured before and two hours after ingestion. Plasma levels of tea compounds were determined after each intervention and correlated with FMD.
Even though the plasma levels of caffeine increased after green tea consumption, caffeine is not exactly the most likely among the various candidate ingredients that could take EGCG's place as an active ingredient responsible for green tea's (drink) ability to improve flow-mediated dilation. After all, previous studies suggest that coffee rather decreases than increases FMD (Papamichael 2005). Since similar effects have been observed by Heiss et al. in 2007 for a high-flavanol cocoa drink, other phenolic constituents of green tea, which obviously cannot be found in green tea extracts are much likelier candidates.
![]() |
| Hot or not? That could be a matter of health or ah... well almost death ;-) Learn why in my previous article "To Boil or Not to Boil? What's Going to Make Your Tea the Healthiest? Recent Study: It Depends on the Type of Tea" |
The answer to this important question comes from a study that will not be officially published before November this year. A study that shows that increasing the extraction temperature will also increase the polyphenol content of your tea. Thi sin turn enhances not just the antioxidant activity of the brew, it will also boost its ability to inhibit α-glucosidase and α-amylase, in vitro. In vivo, however, green tea steeped at 60°C had significantly stronger glucose uptake inhibitory activity (p<0.05) than green tea that was prepared at 100°C.
The answer to the previously raised question "Hot to brew the perfect tea?" is thus both, context- and, as previously discussed research suggested, also type-dependent | Comment.
References:
- Chaipichit, Nataporn, et al. "Statin adverse effects: patients’ experiences and laboratory monitoring of muscle and liver injuries." International Journal of Clinical Pharmacy 37.2 (2015): 355-364.
- Cascella, Marco, et al. "The efficacy of Epigallocatechin-3-gallate (green tea) in the treatment of Alzheimer’s disease: an overview of pre-clinical studies and translational perspectives in clinical practice." Infectious Agents and Cancer 12.1 (2017): 36.
- Castro, M. Regina, et al. "Statin use, diabetes incidence and overall mortality in normoglycemic and impaired fasting glucose patients." Journal of general internal medicine 31.5 (2016): 502-508.
- Dekant, et al. "Safety assessment of green tea based beverages and dried green tea extracts as nutritional supplements." Toxicol Lett. 2017 Jun 24. pii: S0378-4274(17)30233-3. doi: 10.1016/j.toxlet.2017.06.008. [Epub ahead of print]
- Falcinelli, S.D. et al. "Green tea and epigallocatechin-3-gallate are bactericidal against Bacillus anthracis." FEMS Microbiol Lett. 2017 Jun 12. doi: 10.1093/femsle/fnx127.
- Fujioka K, et al. "The Powdering Process with a Set of Ceramic Mills for Green Tea Promoted Catechin Extraction and the ROS Inhibition Effect." Molecules. 2016 Apr 11;21(4):474. doi: 10.3390/molecules21040474.
- Heiss, Christian, et al. "Sustained increase in flow-mediated dilation after daily intake of high-flavanol cocoa drink over 1 week." Journal of cardiovascular pharmacology 49.2 (2007): 74-80.
- Kim, Tae-eun, et al. "effect of epigallocatechin-3-gallate, major ingredient of green tea, on the pharmacokinetics of rosuvastatin in healthy volunteers." Drug design, development and therapy 11 (2017): 1409.
- Lorenz, Mario, et al. "Tea-induced improvement of endothelial function in humans: No role for epigallocatechin gallate (EGCG)." Scientific Reports 7 (2017).
- Mancini, GB John, et al. "Diagnosis, prevention, and management of statin adverse effects and intolerance: proceedings of a Canadian Working Group Consensus Conference." Canadian Journal of Cardiology 27.5 (2011): 635-662.
- Papamichael, Chris M., et al. "Effect of coffee on endothelial function in healthy subjects: the role of caffeine." Clinical Science 109.1 (2005): 55-60.
- Randazzo, W. et al. "Effect of green tea extract on enteric viruses and its application as natural sanitizer." Food Microbiol. 2017 Sep;66:150-156. doi: 10.1016/j.fm.2017.04.018. Epub 2017 May 3.
- Raso, et al. "Effects of chronic consumption of green tea on weight and body fat distribution of Wistar rats evaluated by computed tomography." Acta Cir Bras. 2017 May;32(5):342-349. doi: 10.1590/s0102-865020170050000003.
- Serafini, Mauro et al. "Health Benefits of Tea" in Herbal Medicine: Biomolecular and Clinical Aspects. 2nd edition. Benzie IFF, Wachtel-Galor S, editors. Boca Raton (FL): CRC Press/Taylor & Francis; 2011.
- Shahid, Saleem Ullah, et al. "Effect of SORT1, APOB and APOE polymorphisms on LDL-C and coronary heart disease in Pakistani subjects and their comparison with Northwick Park Heart Study II." Lipids in health and disease 15.1 (2016): 83.
- Tehrani, H.G. et al. "Effect of green tea on metabolic and hormonal aspect of polycystic ovarian syndrome in overweight and obese women suffering from polycystic ovarian syndrome: A clinical trial." J Educ Health Promot. 2017 May 5;6:36. doi: 10.4103/jehp.jehp_67_15. eCollection 2017.
- Tirosh, Oren, et al. "OP-17-Tea Extracts-induced Liver Injury: Lipotoxic Interaction Between Lipids and Polyphenols." Free Radical Biology and Medicine 108 (2017): S8.
- Tsai, et al. "Effect of green tea extract supplementation on glycogen replenishment in exercised human skeletal muscle." Br J Nutr. 2017 Jun 20:1-8. doi: 10.1017/S0007114517001374. [Epub ahead of print]
- Werba, Jose, P et al. "Overview of green tea interaction with cardiovascular drugs." Current pharmaceutical design 21.9 (2015): 1213-1219.








































