![]() |
| Are we "pouring liver cancer", when we consume soft drinks regularly? Recent data from the EPIC study appears to suggest just that - specifically if the soft drinks are artificially sweetened. |
You can learn more about sweeteners at the SuppVersity
After 11.4 years of follow-up, 191 HCC, 66 IHBC and 236 GBTC cases were identified. Hazard ratios and 95 % confidence intervals (HR; 95 % CI) were estimated with Cox regression models with multivariable adjustment (baseline total energy intake, alcohol consumption and intake pattern, body mass index, physical activity level of educational attainment and self-reported diabetes status).
Don't be fooled by the size and name of the EPIC cohort! For the laypress the large cohort size will make this study appear as if the results must be God given. Personally, I am yet not impressed by scientists handing food frequency questionnaires out to almost half a million people (65%-68% correlation with what the people actually eat | Streppel. 2013), but it obviously blurs the errors. Personally, I still wouldn't take this as a complementary ticket for the exuberant consumption of artificially sweetened soft drinks.
As the researchers rightly point out, this makes the study at hand one of the few to study the possible link between soft drink consumption and cancers of the
liver and biliary tract, which could - "[g]iven the
rising consumption of sweetened non-alcoholic beverages
and their likely link to several metabolic disorders that play
a role in the development of these cancers" (Stepien. 2014) - be a major contributor to the ever-increasing number of liver carcinoma.
A 6% risk increase does not equate a risk of 6%! I just realized on Facebook that people are still misinterpreting risk increases as absolute risks. If you have a risk increase of 6% of a crude baseline risk of 101/476968 [number of cancer patients / number of subjects] = 0.021%, a 6% risk increase will bring you up to a risk of 0.024% which means that 2.24 people out of 10,000 are at risk of developing hepatocellular cancer. This is not an exact calculation, obviously, because I don't have all the data to do it properly, but it gives you an estimate of the absolute risk, which is minimal!
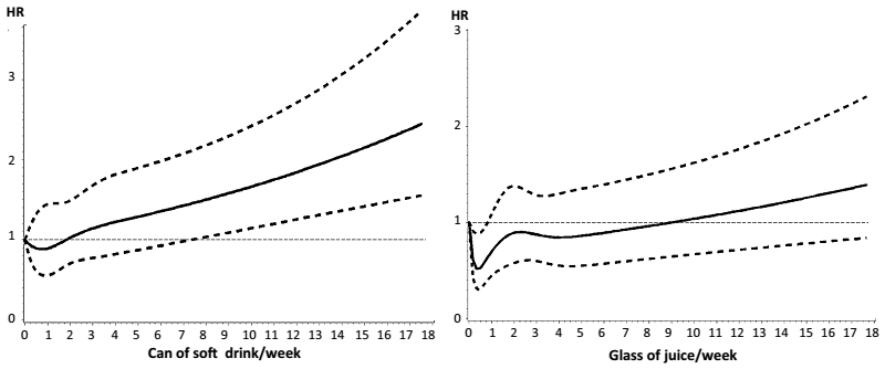
In view of the previously cited way in which the consumption of these drinks contributes to the metabolic disorders that "play a role in the development of these cancers" (Stepien. 2014 | I would even say they trigger them), it is yet not half as surprising as the results of the scientists' sub-group analysis. In spite of that, the data Stepien et al. generated suggests that it's not the consumption of the "bad" + obesogenic sugary version of the drinks which shows an incremental risk increase of +6% for heaptocellular carcinoma on a per serving base, but its artificially sweetened cousins!"In additional analyses by the type of drinks (sugar-sweet ened vs. artificially sweetened), each additional serving of artificially sweetened soft drink was positively associated with HCC risk (HR 1.06, 95 % CI 1.03–1.09, n_cases = 101), while for sugar-sweetened soft drinks, this association was null (HR 1.00, 95 % CI 0.95–1.06, n_cases = 127). The difference between both estimates was borderline significant (p_heterogeneity = 0.07)." (Stepien. 2014)No such difference was observed for sex, BMI category, alcohol intake pattern, nor the categories of juices (i.e. apple or other fruit juices were not worse than vegetable juice).
Before you panic, you should take into consideration that as large as the total cohort may have been the number of cases of hepatocellular carcinoma in the regular and artificially sweetened soft drink drinkers was N=127 and N=101, respectively. That's not just not half as impressive as the total number of participants (N = 477,206); it also raises the question how reliable the results actually is.
This is particularly true in view of the fact that Previously reported findings from the EPIC cohort have shown that high sugar intakes are positively significantly associated with HCC risk. A result which contradicts the link non-existing link between sugar sweetened beverage (SSB) intake and hepatocelular carcinoma in the study at hand and put another question-mark behind the results of the subgroup analysis.
They stand in line, however, with the results presented by Schlesinger et al. (2013) and Romaguera et al. (2013) who found an association between artificially sweetened soft drinks and diabetes risk in their analysis of the EPIC data from France and, in this case more importantly, the results Suez et al. published in Nature recently (Suez. 2014). In said study, about which I also wrote about on the SuppVersity (read more), the researchers found that the consumption of non-caloric artificial sweeteners affects the intestinal microbiota composition in a way that leads to the development of glucose intolerance and could eventually also be responsible for the observations Stepien et al. made when they correlated the intake of artificially sweetened beverages of the 101 HCC patients in their with the intake of the 476978 "healthy" (=HCC-free) study participants.
Overall, I would still say that more research has to be done before we can safely say that the consumption of high amounts of artificially sweetened soft drinks, let alone the consumption of artificial sweeteners, in general, will put you at a significantly increased risk of developing hepatocellular cancer. An absolute risk, by the way, of which my elaborations in the 2nd red box tell you that it is still far below 0.03% | Comment of Facebook!
References: This is particularly true in view of the fact that Previously reported findings from the EPIC cohort have shown that high sugar intakes are positively significantly associated with HCC risk. A result which contradicts the link non-existing link between sugar sweetened beverage (SSB) intake and hepatocelular carcinoma in the study at hand and put another question-mark behind the results of the subgroup analysis.
![]() |
| I wrote only recently about the results of a rodent study by Suez et al. which may trace the increased HCC risk with artificial sweetener consumption back to unwanted changes in the gut microbime | read more |
Overall, I would still say that more research has to be done before we can safely say that the consumption of high amounts of artificially sweetened soft drinks, let alone the consumption of artificial sweeteners, in general, will put you at a significantly increased risk of developing hepatocellular cancer. An absolute risk, by the way, of which my elaborations in the 2nd red box tell you that it is still far below 0.03% | Comment of Facebook!
- Romaguera, D., et al. "Consumption of sweet beverages and type 2 diabetes incidence in European adults: results from EPIC-InterAct." Diabetologia 56.7 (2013): 1520-1530.
- Schlesinger, S., et al. "Diabetes mellitus, insulin treatment, diabetes duration, and risk of biliary tract cancer and hepatocellular carcinoma in a European cohort." Annals of oncology 24.9 (2013): 2449-2455.
- Stepien, et al. "Consumption of soft drinks and juices and risk of liver and biliary tract cancers in a European cohort." Eur J Nutr (2014). Ahead of print.
- Streppel, Martinette T., et al. "Relative validity of the food frequency questionnaire used to assess dietary intake in the Leiden Longevity Study." Nutr J 12 (2013): 75.
- Suez, Jotham, et al. "Artificial sweeteners induce glucose intolerance by altering the gut microbiota." Nature 514.7521 (2014): 181-186.




















