Brassaiopsis glomerulata: Novel Natural Aromatse Inhibitor in Driven Sports Triazole
![]() |
| Figure 1: Chemical structure of selected components of Brassaiopsis glumerulata (Balunas. 2009) |
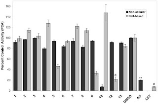
In fact, the results of the aforementioned study are promising. Out of the 13 components the scientists isolated from this shrub of family Araliaceae, no. 9, 10 and 12 (cf. figure 2) appear to be promising candidates for over-the-counter aromatase inhibitor of the year.
At least in vitro the Linoleic acid (10), N-benzoyl-L-phenylalanine methyl ester (9) and (-)-dehydrololiolide (12) components of the shrub extract were found to be active in the enzyme-based AI assay (10) and the cell-based AI essay (9,12), respectively. While the increase in cell based aromatization (+50%) by Linoleic Acid will negate some of the effects of the other two compounds, the overall impact on cell based aromatization would still be roughly -40% (additive effects assumed, cf. note 1). The one on non-cellular aromatase induced by Linoleic acid (10), on the other hand, would be about -90%, as both, N-benzoyl-L-phenylalanine methyl ester (9) and (-)-dehydrololiolide (12), had only negligible influence on the enzyme based AI essay.
There are however to major drop-backs to the application of these results to Driven Sports Triazole:
- The above calculations assume that the individual interaction of the components is an additive one - this is probably too simplistic; the overall effect with e.g. 10+12 administered simulataneously could as well be completely different.
- This is an in vitro study using high quality, one-component extracts. We do not know what "proprietary" standard Designer Supplements use, and how much of the effective components (remember these are only 3 out of 13) is in a pill, where pZole, as DS calls it, is only one of three ingredients in a 750 mg blend. Luckily we can narrow that down, because we know there is 5mg Zinc from Zinc Aspartate in the blend. Since Zinc Aspartate is about 25% Zinc (EFSA. 2008), we have 20mg Zinc Aspartate. That leaves us with 720mg of a blend of pZole and Prunella Vulgaris PE 20:1, with the latter effectively inhibiting aromatase in-vitro at 500µg/ml (the highest dose tested; Collins. 2008) - from that data it is obviously impossible to derive any reliable conclusion on whether the product is underdosed or could be effective.
- Apart from the amount of herbal extract in one serving, it is of equal importance whether and how much of the effective components (9,10,12) arrive in the blood stream and whether they work exactly the same on non-tumor cells.

